INTRODUCTION
The assessment of minimal residual disease (MRD) has currently become a necessary strategy to better address treatment intensity in acute leukemias [1]. The detection of MRD by RT-PCR is limited to those patients characterized by genetic markers. The latter include fusion genes derived from chromosome translocations, such as PML-RARα AML1 and CBF-MYH112 or mutations, for example nucleophosmin (NPM1), [1, 3] which has been validated as a sensitive marker of MRD detection. More recently, studies of next generation sequencing (NGS) allowed to enlarge the spectrum of genetic abnormalities by discovering new mutations and aberrations [4] Basing on these studies, other genetic markers are under investigation, including IDH1 and IDH2 mutations which occur in less than 10% of the patients [5]
.Other genes found overexpressed in AML have been validated for MRD detection in many clinical settings. Among them, one of the most exploited is the Wilms tumor gene ( WT1) [6–8].
Studies of NGS clearly showed that in AML at diagnosis there is a founding clone which prevails and several small subclones, characterized by different mutations, which are often undetectable by Sanger sequencing. These subclones can be selected by chemotherapy or by molecular targeted therapies and expand over time thus generating chemoresistance or relapse [4, 9].
Many studies suggest that WT1, although not associated with a specific leukemic clone, is very sensitive in the detection of the persistence or of the reappearance of the disease [8] The fact that its expression is not related to specific genetic alterations allows WT1 to monitor the kinetic of the leukemic cells. Since WT1 is not overexpressed only in AML but in other hematological malignancies including myelodysplastic syndromes [10] and myeloproliferative disorders, [11] it could be considered a “universal marker” of clonal hematopoiesis. Despite the fact that the majority of AML at diagnosis overexpresses WT1, in about 20-30% of AML the gene is not significantly overexpressed [8]. We therefore explored the possibility of additional molecular markers to monitor the disease.
The meningioma 1 gene (MN1), located on chromosome 22q11, was cloned from a patient affected by meningioma characterized by the translocation t(4;22) (p16;q11) [12]. Additional studies identified the fusion between TEL and MN1 genes in AML patients with translocations t(12;22) (p13;q11) [13]. This genetic alteration, although very rare, represents a relevant prognostic factor with a negative impact on survival. Despite the role of this fusion transcript, it was shown that MN1 overexpression represents a negative prognostic factor in terms of disease free survival [14].
Heuser and colleagues [14] investigated the significance of MN1 expression in a uniformly treated cohort of adult AML patients with normal karyotype. In this study the prognostic relevance of MN1 was compared to other prognostic factors such as FLT3 internal tandem duplication (ITD), MLL and NPM1 mutations. This study suggests that MN1 overexpression is an independent prognostic marker in AML with normal karyotype and it is associated with shorter relapse free survival (RFS) and shorter overall survival (OS) [14].
The two main objects of the present study were the identification and characterization of the subset of patients showing MN1 overexpression and the validation of MN1 as a marker for MRD detection.
RESULTS
MN1 expression in AML patients at diagnosis
The expression levels of MN1 transcript in normal controls and in leukemia samples at diagnosis are summarized in Table 1, 2 and Figure 1. The MN1 levels were very low in normal samples: the mean copy number of MN1/104 ABL copies is 130±94 (median 136; range 9-300) in peripheral blood (PB) and 285 ±117 in BM (median 254, range 80-500).
Table 1: MN1 expression in normal and AML samples. BM= bone marrow, PB= peripheral blood NV= not valuable, SD= standard deviation, CTRL= healthy control

Table 2: Clinical characteristics of the patients enrolled in the study. Treatment, indicated as A, B, C and D, is described in the “materials and methods” section


Figure 1: MN1 expression in PB (red dots) and BM (black dots) in samples from healthy volunteers, AML patients with normal karyotype, APL with t(15;17), AML with inv(16) and AML with t(8;21) chromosomal abnormalities. The transcript amount is expressed as MN1 copies/104 ABL copies.
Similarly, low levels of expression were detected in normal CD34+ cells obtained from healthy volunteers: mean MN1 copies/104 ABL copies 223±56 (median 215 copies/104 ABL copies, range 149-300).
Conversely, as shown in Table 1 and 2, 47% of the samples collected at diagnosis from AML patients characterized by a normal karyotype showed abnormal expression of the MN1 gene. In this subset of patients, the mean value of expression evaluated for 37 out of 79 BM samples showed a transcript amount above the upper limit of normal controls is 9707±16590 copies/104 ABL copies (median 5136, range 852-90230). Interestingly, as shown in Figure 1, NK AML and CBF AML seem to segregate in two groups, one with normal values (below 500 MN1 copies/104 ABL copies for BM and 300 MN1 copies for PB), the second with MN1 values above 1000 copies. This raises the possibility of a “gray zone” between positivity and negativity. At present we cannot establish the prognostic significance of MN1 with values falling in that range.
In accordance, 9 out of 19 PB samples presented abnormal expression with a mean value of 7125± 4663 (median 6780, range 1367-15900). All samples carrying the fusion transcript CBβ-MYH11 expressed a significantly higher amount of MN1 transcript. The mean copy number is 44270±26285 (median 46950, range 2149-98000) in BM and 35200±21771 (median 34500, range 1400-67999) in PB. These values are significantly higher as compared to controls (p<0.0001 in both BM and PB). Fifty % of the samples characterized by the fusion gene RUNX1-AML1 abnormally expressed MN1. The mean value of MN1 copies calculated for BM cells with MN1 expression above the upper limit established by normal samples was 17848±10925 (median 16950, range 3500-34000). All four PB samples tested presented high MN1 values with a mean copy number of 16052±26665 (median 3475, range 1260-56000). Additionally, four AML patients with sporadic abnormalities such a t(9;22), trisomy 9, 5q-, and complex karyotype were included. All expressed abnormal MN1 transcript values (data shown in Table 1). Finally, the Acute Promyelocytic Leukaemia (APL) samples expressed MN1 values comparable to those of healthy subjects in both BM (p= 0.4) and PB (p=0.08).
Interestingly, the paired analysis of 47 PB and BM samples collected from the same cohort of patients allowed us to establish a remarkable correlation between MN1 expression in PB and BM. Regression analysis provided an r value of 0.91 (Figure 2).

Figure 2: Correlation between MN1 expression in PB and BM. The transcript amount is expressed as MN1 copies/104 ABL copies.
Stratification of patients according to the presence of FLT3 mutation or internal tandem duplication (ITD) demonstrated no significant association between the two abnormalities. MN1 was overexpressed in 35% of patients with FLT3 ITD, 33% of patients with the D835 mutation and 50% of those with wild type FTL3.
Finally, in contrast to previously published data, we were unable to find any significant correlation between EVI-1 and MN1 expression (r= 0.06) or between MN1 and NPM1 mutation (r=0.2).
MN1 as a target for MRD detection
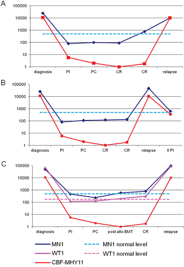
To assess the significance of MN1 expression as a marker for MRD detection in AML, the MN1 transcript amount was quantified during follow-up in 20 AML patients characterized by the presence of specific fusion-gene transcripts (15 CBFβ-MYH11 and 5 RUNX1-AML1), in 8 patients with NPM1 mutation and in and 13 AML patients (including 3 resistant cases) lacking additional molecular markers but monitored by making use of WT1 quantitative assessment, which we have previously demonstrated to strictly parallel fusion gene transcript behavior [6]. In all cases characterized by the presence of a fusion-gene transcript, the longitudinal pattern of MN1 expression was always found to parallel that of the fusion gene. (Table 3) Three representative AML cases are illustrated in Figure 3. In the inv(16) AML subgroup, the patient who remained in continuous complete remission (CCR) constantly showed MN1 values within the normal range (Table 3), whereas the five patients who ultimately relapsed showed a progressive raising of MN1 levels above the normal range during hematological remission (Table 3 and Figure 3). In the cases illustrated in Figure 3 panel A and C, MN1 values were found above the normal range in concomitance with quite stable values of CBFβ-MYH11 transcript in BM samples taken 3 and 4 months, respectively, before hematological relapse while the patients were still in hematological remission.
Table 3: Simultaneous evaluation of the expression of MN1 and fusion gene transcript (CBF-MYH11 or RUNX1-AML1) or NMP1 mutation during follow up in patients with AML


Figure 3: Panel A and B: MN1 transcript expressed as number of copies/104 ABL copies (blue line) and CBFβ-MYH11 transcript expressed as copy number/104 ABL copies (red line) at diagnosis and during follow-up in two patients with inv(16) who relapsed. MN1 increased above the upper normal limit three months before relapse in patient represented in panel A. Panel C: MN1 transcript (blue line), CBFβ-MYH11transcript (red line) and WT1 transcript (pink line) at diagnosis and during follow-up of a patient with an inv(16) alteration who relapsed after two cycles of chemotherapy and allogeneic bone marrow transplantation (allo BMT). MN1 and WT1 increased above the upper normal limit four months before haematological relapse. PI= post induction, PC= post consolidation, CR= complete remission.
Similarly, in the t(8;21) group, three patients who were in CCR never showed levels of MN1 transcript above the normal range (Table 3), whereas in the two patients who relapsed, increased MN1 levels were detectable 1 and 2 months respectively before the evidence of relapse.
In addition in 8 patients with NPM1 mutation the quantitative analysis of MN1 and NPM1 shows a concordance between the two markers with a progressive increase of both before relapse and normal values of MN1 and negative NPM1 during remission.
Finally, all patients were also monitored using WT1 quantitative assessment. As shown in Figure 3 panel C, and as already demonstrated in our previous study and in many studies from the literature, [15] WT1 strictly paralleled the behaviour of the fusion transcripts. Furthermore, we found that MN1 strictly paralleled WT1 in patients without any fusion gene (Figure 4) and in patients with rearrangements in the core binding factor (Figure 3C). Figure 4 shows the two molecular markers used during follow up of a patient who obtained a remission after two courses of chemotherapy and allogeneic bone marrow transplant. In this patient, both markers, WT1 and MN1, returned to normal range and both increased three months before relapse.

Figure 4: MN1 transcript (blue line) and WT1 transcript (pink line) expressed as number of copies/104 ABL copies at diagnosis and during follow-up of a patient with normal karyotype who obtained remission after chemotherapy and allogeneic bone marrow transplant and relapsed six months after transplant. In this patient, both markers, WT1 and MN1, returned to normal range and increased three months before relapse.
Although the presented examples show a good degree of concordance in the curves representing MN1 and fusion genes, they are not completely parallel. In some cases it seems that MN1 expression, similarly to WT1, is cleared more rapidly than fusion gene transcripts during induction of remission, but it also seems that its elevation is more indicative than the fusion gene transcript in predicting relapse (see Figure 3 panel A and C). At the moment this cannot be easily explained due to our lack of knowledge about the kinetics of MN1 expression in AML.
DISCUSSION
The negative impact of the persistence of minimal residual disease after chemotherapy or before bone marrow transplantation in acute myeloid leukemia patients is well established [1]. RT-PCR is among the most sensitive methods used for the quantification of the MRD but it requires the presence of genetic markers in the leukemic clone including fusion transcripts or mutations [2, 3].
The disease monitoring became even more cumbersome with the genomic characterization of AML which elegantly demonstrated that, al least at onset, the acute leukemia is mainly constituted by a founding clone with a variable number of mutations and by additional subclones, nearly undetectable, carrying mutations different from the founding clone [4, 9].
These subclones might eventually be selected during chemotherapy and expand during the course of the disease [4, 9]. Considering the dynamic of the leukemic clones it should not be unpopular to suggest the use of a marker not specifically related to a clone but able to identify the presence of leukemic cells independently from their genetic lesions and their phenotype.
In addition, we must consider that in many laboratories NGS technology is not yet available and RQ-PCR targeting all the identified mutations is time consuming and expensive. The advantage of using a single “universal marker” with high sensitivity and specificity allow to better monitor the disease during therapy and in the remission phase.
Interestingly, the association of MN1 with myeloid malignancy goes beyond MN1 involvement in rare translocations such as t(12;22), as the gene is overexpressed in a significant percentage of AML patients. These has been already demonstrated in literature in some patients characterized by overexpression of the transcription factor ectropic viral integration 1 site (EVI1) [16] and in some adult AML patients without karyotypic abnormalities. In the latter case, overexpression of MN1 was associated with a worse prognosis and shorter survival rate [14]. Despite the possibility that MN1 could represent an independent prognostic factor for AML patients, particularly for those with a normal karyotype, there are few data regarding the expression of MN1 in normal hematopoietic cells and in different subtypes of AML. Furthermore, there is currently no evidence that MN1 could represent a suitable marker for minimal residual disease detection. Using a real time quantitative PCR approach, we show that MN1 expression is detectable in all normal bone marrow and peripheral blood samples and CD34 positive cells collected from healthy subjects, although we were able to estimate that normal subjects expressed very low MN1 levels. In contrast, a significant number of patients are characterized by high MN1 transcript amount and, in several cases, the expression is at least 2 or 3 logs higher than controls. It appears that overexpression of MN1 is mainly associated with the inv16 chromosomal abnormality and with a normal karyotype, whereas in t(15;17) APL the values are consistently comparable to controls. In contrast, we were unable to find any significant correlation between FLT3 ITD or mutation or EVI-1 overexpression. Moreover, the finding that CD34-positive cells express low levels of MN1 transcript supports the notion that increased levels of MN1 expression are indeed specific of leukemic blasts and not a simple consequence of the degree of differentiation. Since a significant percentage of AML shows consistently increased MN1 expression levels, this could represent a candidate marker suitable to discriminate between normal and leukemic hematopoiesis and useful to establish the presence, persistence or reappearance of leukemic clone. In particular, our data show that 45% of AML cases lacking other molecular markers suitable for MRD monitoring express at diagnosis MN1 transcript values above the normal range established by healthy subjects. In this subset of patients, MN1 may represent a reliable marker for MRD detection. So far no data are available concerning the clinical significance of detection of MN1 expression by RT-PCR for monitoring patients with acute leukemia during follow-up. The data presented in this paper show that an accurate quantitative assessment of MN1 transcript amount allows to clearly distinguish between normal and abnormal expression levels of MN1 and, as for WT1, can overcome the problem represented by the minimal amount of gene expression found in normal hematopoietic progenitors. The simultaneous quantitative assessment of the MN1 transcript and of the specific fusion gene or NPM1 mutation showed a good parallelism between the behaviour of the two markers. Indeed, minor discrepancies at low levels of expression of the two markers were observed. In particular, the decrease in MN1 expression seems to be particularly rapid compared to the fusion gene transcript during the induction of remission and its elevation before relapse is more rapid and therefore it is probably more sensitive in predicting relapse. Therefore, even though the degree of sensitivity for MRD detection by analysis of MN1 expression remains to be established, the results obtained show that an increase in MN1 expression above normal levels can be of prognostic significance in predicting relapse during follow-up of AML patients. Although the MN1 gene requires validation as a marker for minimal residual disease in future prospective studies, it seems to be a promising marker for this purpose and further studies should be encouraged.
MATERIALS AND METHODS
After informed consent, 136 acute myeloid leukaemia patients and 50 healthy volunteers were included in the study. 136 bone marrow samples (BM) and 36 paired peripheral blood samples (PB) were collected from 136 AML patients at diagnosis. In addition, 41 patients were studied during follow-up. The median age was 48 years (range 18-74). All cases were classified according to FAB criteria, characterized at the cytogenetic level by conventional karyotyping and screened by RT-PCR for the presence of the most frequent fusion transcripts, as previously described.2 NPM1 mutations 3 and FLT3 ITD or D835 mutations were screened. WT1 quantitative assessment is available for all samples included in the study and, furthermore, in 40 out of 136 BM samples EVI-1 quantitative assessment was also performed. The FAB distribution was as follows: FAB M0=21, FAB M1= 22, FAB M2=26, FAB M3= 25, FAB M4= 24, FAB M5=16, FAB M6=2. Patients younger than 60 years were treated following standard protocols established by the GIMEMA Cooperative Group for the treatment of adult patients with acute myeloid leukemia which included: Induction treatment with a 3-drug regimen: Daunorubicine (DNR) 50 mg/sqm/day on days 1, 3 and 5; Cytosine-Arabinoside (ARA-C) 100 mg/sqm/day on days 1 to 10; Etoposide 100 mg/sqm/day on days 1 to 5; to be repeated in case of partial remission (PR). Consolidation therapy with DNR 50 mg/sqm/day on days 4 to 6 and intermediate-doses ARA-C (500 mg/sqm/12 h on days 1 to 6) for patients achieving complete remission (CR) after either the first or the second induction cycle.
Additional consolidation treatments with high dose ARA-C were used followed, in high risk patients by allogeneic stem cell transplantation. (This regimen is indicated as treatment A in Table 2) Elderly or unfit patients were treated with two cycles of daunorubicin 45 mg/sqm/day on days 1, 3 plus ARA-C 100 mg/sqm/day on days 1 to 7 followed, in same cases, by autologous stem cell transplantation. (This regimen is indicated as treatment B in Table 2)
Refractory or secondary AML were treated following the Mito-FLAG scheme (Fludarabine 30 mg/sqm day 1-5, ARA-C 2000 mg/sqm day 1-5, mitoxantrone 7 mg/sqm day 1,3,5 and G-CSF 5 μg/kg from day -1) and consolidated as described above. (This regimen is indicated as treatment C in Table 2). Finally Acute promyelocytic leukemia were treated with anthracycline-based risk-adapted chemotherapy plus all-trans retinoic acid (ATRA) [17]. (This regimen is indicated as treatment D in Table 2)
Complete remission was defined according to standard criteria. Finally 30 PB and 20 BM and 6 CD34+ enriched peripheral blood stem cell samples collected from healthy volunteers were included as normal control.
Real time quantitative RT-PCR (RQ-PCR) analysis of MN1 and WT1
Total RNA was extracted using TRI Reagent solution (Ambion, Waltham, MA USA). Mononuclear cells were separated on a Ficoll–Hypaque density gradient. Total RNA was extracted by standard procedure. The RT (reverse transcription) step was performed as previously described [2, 8]. RQ-PCR reactions and fluorescence measurements were made on the ABI PRISM 7700 Sequence Detection System (PE Applied Byosystems, Foster City, USA).
Briefly, the RQ-PCR primers and probe for MN1 detection were provided by ELItech, Turin, Italy
Primers and probe for MN1 detection are:
5’ AGAAGGCCAAACCCCAGAACC-3’
5’ GATGGTGAGGCCTTGTTTGCA-3’
5’ Fam-ACAGCAAAGAAGCCCAC-MGBNFQ 3’
For WT1 we followed the ELN standardized method reported [8].
The analysis was performed in triplicate and results showing a discrepancy >1 Ct in one of the wells were excluded and repeated. For quantitative assessment of MN1 a calibration curve with a plasmid containing MN1 target sequences was used (ELItech, Turin, Italy). The MN1 values obtained by RQ-PCR were normalized with respect to the number of ABL transcripts and expressed as MN1 copy number every 104 copies of ABL. Quantitative assessment of CBF-MYH11 and RUNX1-AML1 transcripts was determined using primers and probes according to standardized procedures.2
Real time quantitative RT-PCR (RQ-PCR) analysis of EVI-1
For EVI-1 and ABL quantification, specific assays on demand kits of primers and probe (assay ID for EVI-1 HS01118675_m1 and for ABL Hs00245445_m1 (Applied Byosystems, Foster City, USA) were used following the manufacturer’s instructions.
All sample analysis was performed in triplicate and results showing a discrepancy >1 Ct in one of the wells were excluded and repeated.
EVI-1 Ct obtained by RQ-PCR was normalized with respect to the Ct of ABL and calibrated with universal RNA (Stratagene, Santa Clara, California, USA) and finally expressed as 2-ΔΔCt.
CD34-positive cells enrichment
CD34+ cells were enriched according to a magnetic cell sorting methodology (MACS; Miltenyi Biotec, Bergisch Gladbach, Germany).Briefly, mononuclear cells were labeled with a haptenized CD34 antibody (QBEND\10) that was magnetically labelled in a second step reaction with an anti-hapten antibody coupled to super paramagnetic microbeads. Labelled cells were then separated using a high gradient magnetic separator column placed in a strong magnetic field. The magnetically stained cells were retained in the column, and when the latter was removed from the magnetic field, CD34-positive cells were eluted. At the end of the procedure, CD34 positive cells represented more that 90% of the total as determined by flow cytometric analysis.
Statistical analysis
MN1 values obtained for different types of leukemia were compared using the Student’s t-test.
CONFLICTS OF INTEREST
The authors declare no conflicts of interest.
GRANT SUPPORT
DC was funded by grants from: AIRC, MURST-COFIN,. The study was partially funded by a special grant from “AIRC 5 per mille” to the AGIMM group (AIRC-Gruppo Italiano Malattie Mileoproliferative); for a complete list of AGIMM investigators see at http://www.progettoagimm.it.
FF was supported by Compagnia di San Paolo, Torino and Cinque per mille Istituto Galsini, Ricerca Corrente, Ministero della Salute.
VR is a fellow of Compagnia di San Paolo.
JP is a fellow of Gigi Ghirotti Foundation.
REFERENCES
1. Ivey A, Hills RK, Simpson MA, Jovanovic JV, Gilkes A, Grech A, Patel Y, BhudiaN, Farah H, Mason J, Wall K, Akiki S, Griffiths M, et al. Assessment of Minimal Residual Disease in Standard-Risk AML. N Engl J Med. 2016; 374:422-433.
2. Gabert J, Beillard E, van der Velden VH, Bi W, Grimwade D, Pallisgaard N, Barbany G, Cazzaniga G, Cayuela JM, Cavé H, Pane F, Aerts JL, De Micheli D, et al. Standardization and quality control studies of 'real-time' quantitative reverse transcriptase polymerase chain reaction of fusion gene transcripts for residual disease detection in leukemia - a Europe Against Cancer program. Leukemia. 2003; 17:2318-2357.
3. Gorello P, Cazzaniga G, Alberti F, Dell'Oro MG, Gottardi E, Specchia G, Roti G, Rosati R, Martelli MF, Diverio D, Lo Coco F, Biondi A, Saglio G, et al. Quantitative assessment of minimal residual disease in acute myeloidleukemia carrying nucleophosmin (NPM1) gene mutations. Leukemia. 2006; 20:1103-1108.
4. Cancer Genome Atlas Research Network. Genomic and epigenomic landscapes of adult
5. Debarri H, Lebon D, Roumier C, Cheok M, Marceau-Renaut A, Nibourel O, Geffroy S, Helevaut N, Rousselot P, Gruson B, Gardin C, Chretien ML, Sebda S, et al. IDH1/2 but not DNMT3A mutations are suitable targets for minimal residualdisease monitoring in acute myeloid leukemia patients: a study by the AcuteLeukemia French Association. Oncotarget. 2015; 6:42345-42353. doi: 10.18632/oncotarget.5645.
6. Cilloni D, Gottardi E, De Micheli D, Serra A, Volpe G, Messa F, Rege-Cambrin G, Guerrasio A, Divona M, Lo Coco F, Saglio G. Quantitative assessment of WT1 expression by real time quantitative PCR may be a useful tool for monitoring minimal residual disease in acute leukemia patients. Leukemia. 2002; 16:2115-2121.
7. Inoue K, Ogawa H, Yamagami T, Soma T, Tani Y, Tatekawa T, Oji Y, Tamaki H, Kyo T, Dohy H, Hiraoka A, Masaoka T, Kishimoto T. Long-term follow-up of minimal residual disease in leukemia patients by monitoring WT1 (Wilms tumor gene) expression levels. Blood. 1996; 88:2267-2278.
8. Cilloni D, Renneville A, Hermitte F, Hills RK, Daly S, Jovanovic JV, Gottardi E, Fava M, Schnittger S, Weiss T, Izzo B, Nomdedeu J, van der Heijden A, et al. Real-time quantitative polymerase chain reaction detection of minimal residual disease by standardized WT1 assay to enhance risk stratification in acute myeloid leukemia: a European Leukemia Net study. J Clin Oncol. 2009; 275:195-201.
9. Grimwade D, Ivey A, Huntly BJ. Molecular landscape of acute myeloid leukemia in younger adults and its clinical relevance. Blood. 2016; 127:29-41.
10. Cilloni D, Gottardi E, Messa F, Fava M, Scaravaglio P, Bertini M, Girotto M, Marinone C, Ferrero D, Gallamini A, Levis A, Saglio G; Piedmont Study Group on Myleodysplastic Syndromes. Significant correlation between the degree of WT1 expression and the International Prognostic Scoring System Score in patients with myelodysplastic syndromes. J Clin Oncol. 2003; 21: 1988-1995.
11. Guglielmelli P, Zini R, Bogani C, Salati S, Pancrazzi A, Bianchi E, Mannelli F, Ferrari S, Le Bousse-Kerdilès MC, Bosi A, Barosi G, Migliaccio AR, Manfredini R, et al. Molecular profiling of CD34+ cells in idiopathic myelofibrosis identifies a set of disease-associated genes and reveals the clinical significance of Wilms' tumor gene 1 (WT1). Stem Cells. 2007; 25:165-173.
12. Lekanne Deprez RH, Riegman PH, Groen NA, Warringa UL, van Biezen NA, Molijn AC, Bootsma D, de Jong PJ, Menon AG, Kley NA, Seizinger BR, Zwarthoff EC. Cloning and characterization of MN1, a gene from chromosome 22q11, which is disrupted by a balanced translocation in a meningioma. Oncogene. 1995; 10:1521-1528.
13. Buijs A, Sherr S, van Baal S, van Bezouw S, van der Plas D, Geurts van Kessel A, Riegman P, Lekanne Deprez R, Zwarthoff E, Hagemeijer A, Grosveld G. Translocation (12;22) (p13;q11) in myeloproliferative disorders results in fusion of the ETS-like TEL gene on 12p13 to the MN1 gene on 22q11.Oncogene. 1995; 10:1511-1519. Erratum in: Oncogene. 1995; 11:809.
14. Heuser M, Beutel G, Krauter J, Döhner K, von Neuhoff N, Schlegelberger B, Ganser A. High meningioma 1 (MN1) expression as a predictor for poor outcome in acute myeloid leukemia with normal cytogenetics. Blood. 2006; 108: 3898-3905.
15. Lasa A, Carricondo M, Estivill C, Bussaglia E, Gich I, Brunet S, Aventin A, Sierra J, Nomdedéu JF. WT1 monitoring in core binding factor AML: comparison with specific chimeric products. Leuk Res. 2009; 33:1643-1649.
16. Carella C, Bonten J, Sirma S, Kranenburg TA, Terranova S, Klein-Geltink R, Shurtleff S, Downing JR, Zwarthoff EC, Liu PP, Grosveld GC. MN1 overexpression is an important step in the development of inv(16) AML. Leukemia. 2007; 21:1679-1690.
17. Avvisati G, Lo-Coco F, Paoloni FP, Petti MC, Diverio D, Vignetti M, Latagliata R, Specchia G, Baccarani M, Di Bona E, Fioritoni G, Marmont F, Rambaldi A, et al. AIDA 0493 protocol for newly diagnosed acute promyelocytic leukemia: very long-term results and role of maintenance. Blood. 2011; 117:4716-4725.