Oncotarget


Oncotarget Does breast carcinoma belong to the Lynch syndrome tumor spectrum?



2020-04-13

Oncotarget Volume 11 Issue 14 reported that somatic mutational profiles of 578 cancer-relevant genes were determined for LS-breast cancer, non-carrier breast cancer, LS-ovarian cancer, and LS-colorectal cancer from the National LS Registry of Finland.

LS-BCs that were pMMR resembled NC-BCs with respect to somatic mutational loads, whereas mutational signatures shared features of dMMR LS-BC, LS-OC, and LS-CRC. Epigenetic regulatory genes were significantly enriched as mutational targets in LS-BC, LS-OC, and LS-CRC.

Dr. Noora K. Porkka from Department of Medical and Clinical Genetics, University of Helsinki, Helsinki, Finland said, "Lynch syndrome (LS) is a prevalent cancer predisposition syndrome, originally defined by the Amsterdam criteria [1, 2] and later by pathogenic or likely pathogenic germline variants of the DNA mismatch repair (MMR) genes MLH1, MSH2, MSH6, or PMS2."

"Lynch syndrome (LS) is a prevalent cancer predisposition syndrome, originally defined by the Amsterdam criteria [1, 2] and later by pathogenic or likely pathogenic germline variants of the DNA mismatch repair (MMR) genes MLH1, MSH2, MSH6, or PMS2."

- Dr. Noora K. Porkka, Department of Medical and Clinical Genetics, University of Helsinki

In comparison with earlier retrospective and family-based studies, recent prospective studies have arrived at somewhat lower age-specific risk estimates for cancers occurring in MMR variant carriers; moreover, penetrance and expression patterns greatly depend on the MMR gene involved.

Among individual MMR genes, pathogenic variants in MLH1 and MSH2 have the highest and PMS2 the lowest penetrance, and MSH6 variants underlie a sex-limited trait with a high risk of gynecological cancers in females.

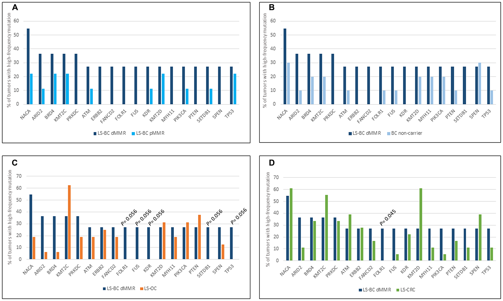
Figure 1: Top mutant genes across tumor types.

Figure 1: Top mutant genes across tumor types. Involvement of 18 LS-BC-associated top mutant genes (x-axis) in the dMMR subset of LS-BC (dark blue bars in (AD), compared to the pMMR subset of LS-BC (turquoise bars in A), non-carrier BC (light blue bars in B), LS-OC (orange bars in C), and LS-CRC (green bars in D).

Moreover, breast cancer risk has been reported to be specifically associated with certain MMR genes, including MLH1,MSH2, and MSH6 and PMS2 and absent MMR protein expression by immunohistochemical analysis of tumor tissues are common pre-screening methods for LS.

The Porkka Research Team concluded in their Oncotarget Research Article, "we demonstrate that LS-BCs which fell into dMMR and pMMR subsets by conventional methods shared MMR-deficiency-associated consensus signatures with the established LS spectrum tumors LS-OC and LS-CRC. Our results suggest that inherited MMR deficiency likely contributed to the development of LS-BC through disruption of MMR-related and non-MMR-related functions, thereby facilitating tumor initiation or progression. As this study was based on a modest number of cases retrieved from a national LS registry and the predisposing genes (MLH1, MSH2, and MSH6) were unevenly distributed, our tumors may not be considered representative of all tumors of the respective organs occurring in LS. Therefore, our results need to be confirmed in larger sample sets preferably representing multiple populations."

Sign up for free Altmetric alerts about this article

DOI - https://doi.org/10.18632/oncotarget.27538

Full text - https://www.oncotarget.com/article/27538/text/

Correspondence to - Noora K. Porkka - [email protected]

Keywords - Lynch syndrome, breast carcinoma, MSI, DNA mismatch repair, somatic mutation

About Oncotarget

Oncotarget is a biweekly, peer-reviewed, open access biomedical journal covering research on all aspects of oncology.

To learn more about Oncotarget, please visit https://www.oncotarget.com or connect with:

SoundCloud - https://soundcloud.com/oncotarget
Facebook - https://www.facebook.com/Oncotarget/
Twitter - https://twitter.com/oncotarget
LinkedIn - https://www.linkedin.com/company/oncotarget
Pinterest - https://www.pinterest.com/oncotarget/
Reddit - https://www.reddit.com/user/Oncotarget/

Oncotarget is published by Impact Journals, LLC please visit http://www.ImpactJournals.com or connect with @ImpactJrnls

Media Contact
[email protected]
18009220957x105



Copyright © 2026 Rapamycin Press LLC dba Impact Journals
Oncotarget ® is a registered trademark of Rapamycin Press LLC
Impact Journals ® is a registered trademark of Rapamycin Press LLC
RAPAMYCIN PRESS ® is a registered trademark of Rapamycin Press LLC