INTRODUCTION
Non-alcoholic fatty liver disease (NAFLD) is a major, worldwide public health problem and is defined as the accumulation of excessive fat in the liver in the absence of quantities of alcohol and any secondary cause [1]. It comprises a spectrum of pathologic conditions including simple nonalcoholic steatosis, nonalcoholic steatohepatitis (NASH) and hepatic cirrhosis [2]. The prevalence of NAFLD is 20% to 30% of the general population in the western world and 15% to 30% in Asian countries [3]. Recently, increasing attention has been paid to the clinical association of NAFLD and cardiovascular disease (CVD) [4–5]. It is widely accepted that NAFLD plays an important role in subclinical atherosclerosis as well as overt cardiovascular events [6–7]. CVD is the leading cause of death in patients with NAFLD [8], and CVD may also lead to the development of liver disease and increase the morbidity and mortality burden of patients with NAFLD [6]. The classic common risk factors for NAFLD and CVD are age and gender, physical inactivity, type 2 diabetes mellitus, obesity, hypertension and hyperlipidemia [5,9].
Lipoprotein metabolism has two main consequences for the function of lipoproteins. First, lipoproteins are delivered as cholesterol and triglyceride molecules from the liver and intestine to muscle and fat tissue by chylomicrons and very low density lipoprotein (VLDL) particles. Secondly excess cholesterol from extra-hepatic tissues is transported to the liver for elimination via the bile by high density lipoprotein (HDL) particles [10]. Dyslipidemia exists in the setting of NAFLD, which results in hypertriglyceridemia, reductions in high density lipoprotein cholesterol (HDL-c) and an increase in the size of VLDL [11]. These changes are typically accompanied by increased concentrations of atherogenic low density lipoprotein cholesterol (LDL-c), even when adjusted for metabolic risk factors [12]. Several studies have shown that some risk markers, including C-reactive protein, LDL-c, interleukin (IL)-6 and plasminogen activator inhibitor-1 are associated with NAFLD and the development of NASH [13–14]. However, it is unclear whether an elevated LDL-c level is a risk factor for NAFLD and there is no data examining the association between LDL-c within the normal range and NAFLD. Therefore, identifying potential risk factors is essential for the prevention of NAFLD.
In this study, we aimed to determine the association between normal LDL-c within the normal range and the risk of developing NAFLD from a large general cross-sectional population. A further investigation was performed in a prospective longitudinal population.
RESULTS
Characteristics of study subjects
A total of 60527 subjects were initially enrolled into the study, of which 40108 subjects remained. In the cross-sectional population, 19675 subjects who had undergone liver ultrasonography were enrolled. Patients with incomplete laboratory or clinical data were excluded from analysis (n = 1041). In addition, we excluded patients with a history of alcohol abuse, LDL-c > 3.12mmol/L, viral hepatitis B or C and drug induced liver injury. As a result, 5689 subjects met our criteria and were included in the cross-sectional analysis (Figure 1). Table 1 shows the characteristics of study subjects according to their quartile measurements of normal LDL-c range. The prevalence rates of NAFLD gradually increased as the LDL-c level increased. BMI, SBP, DBP, FPG, ALT, AST, BUN, Cr, TC, TG, UA were significantly higher, while HDL-c was lower, among subjects with higher LDL-c levels. In our longitudinal population, 33153 participants attended their annual health examination in 2 medical centers. Patients with incomplete liver ultrasonography were excluded (n = 487) in the 5-year follow-up examination. In addition, 1834 subjects who had incomplete laboratory data or lost to follow-up were therefore excluded. Finally, 20433 subjects were included, which completed the 5-year follow-up examination. The baseline characteristics of subjects in longitudinal population are shown in Table 2. A similar change in the measured clinical characteristics was observed with the cross-sectional population.

Figure 1: Study flow diagram. A total of 27374 participants were enrolled initially, while 19675 participants were included in the cross-sectional population. A total of 33153 participants were enrolled initially, while 20433 participants were included in the longitudinal population.
Table 1: Baseline Characteristics of Cross-sectional Population, Stratified by Quartiles of LDL-c
Quartiles of LDL-c (mmol/L) in Cross-sectional Population |
|||||
|---|---|---|---|---|---|
Characteristics |
Q1 (<2.0) |
Q2 (2.0-2.35) |
Q3 (2.36-2.68) |
Q4 (2.68-3.12) |
P |
N |
4926 |
3372 |
5091 |
4869 |
|
M(F) |
2500 (2426) |
1984 (1388) |
3243 (1848) |
3352 (1517) |
|
NAFLD, N (%) |
953 (19.34%) |
872 (25.86%) |
1815 (35.65%) |
2049 (42.08%) |
<0.001 |
Age, y |
40.88 ± 12.10 |
42.15 ± 11.67 |
44.18 ± 11.56 |
45.54 ± 11.28 |
<0.001 |
BMI, kg/m2 |
22.12 ± 3.61 |
22.72 ± 3.43 |
23.49 ± 5.03 |
23.49 ± 3.46 |
<0.001 |
SBP, mmHg |
121.54 ± 17.47 |
123.04 ± 16.85 |
125.76 ± 17.00 |
127.51 ± 16.90 |
<0.001 |
DBP, mmHg |
74.71 ± 11.11 |
75.63 ± 11.11 |
77.81 ± 10.93 |
79.18 ± 11.00 |
<0.001 |
FPG, mmol/L |
5.09 ± 1.00 |
5.14 ± 1.03 |
5.22 ± 1.01 |
5.32 ± 1.22 |
<0.001 |
ALB,U/L |
44.48 ± 3.00 |
44.48 ± 3.01 |
44.59 ± 2.87 |
44.58 ± 2.86 |
<0.001 |
ALT, U/L |
22.51 ± 18.70 |
24.13 ± 20.71 |
26.00 ± 19.79 |
28.80 ± 22.11 |
<0.001 |
AST, U/L |
24.49 ± 15.39 |
24.78 ± 13.91 |
25.25 ± 11.69 |
26.39 ± 11.90 |
<0.001 |
BUN, mmol/L |
4.40 ± 1.29 |
4.57 ± 1.23 |
4.70 ± 1.22 |
4.79 ± 1.23 |
<0.001 |
Cr, μmol/L |
77.51 ± 21.53 |
78.57 ± 17.56 |
80.10 ± 18.34 |
82.00 ± 17.63 |
<0.001 |
TC, mmol/L |
3.94 ± 0.66 |
4.46 ± 0.51 |
4.95 ± 0.50 |
5.42 ± 0.53 |
<0.001 |
TG, mmol/L |
1.53 ± 1.59 |
1.62 ± 1.42 |
1.79 ± 1.32 |
1.97 ± 1.46 |
<0.001 |
HDL-c, mmol/L |
1.42 ± 0.42 |
1.90 ± 0.36 |
1.39 ± 0.34 |
1.39 ± 0.33 |
<0.001 |
UA, μmol/L |
291.60 ± 95.21 |
306.07 ± 95.42 |
320.01 ± 96.40 |
333.10 ± 96.88 |
<0.001 |
Abbreviations: NAFLD = nonalcoholic fatty liver disease, ALB = albumin, ALT = alanine aminotransferase, AST = aspartate aminotransferase, BMI = body mass index, BUN =blood urea nitrogen, Cr = creatinine, SBP = systolic blood pressure, DBP = diastolic blood pressure, FPG = fasting plasma glucose, HDL-c = high-density lipoprotein cholesterol, LDL-c = low-density lipoprotein cholesterol, UA = uric acid, TC = total cholesterol, TG = triglyceride.
Table 2: Baseline Characteristics of Longitudinal Population, Stratified by Quartiles of LDL-c
Quartiles of LDL-c in Longitudinal Population |
|||||
|---|---|---|---|---|---|
Characteristics |
Q1 (< 2.0) |
Q2 (2.0-2.35) |
Q3 (2.36-2.68) |
Q4 (2.68-3.12) |
P |
N |
5739 |
5087 |
5116 |
4491 |
|
M (F) |
2971 (2768) |
2686 (2401) |
2783 (2333) |
2431 (2060) |
|
NAFLD, N (%) |
837 (14.58%) |
945 (18.58%) |
1183 (23.12%) |
1288 (28.68%) |
P<0.001 |
Age, y |
42.52 ± 14.82 |
43.15 ± 14.96 |
43.72 ± 15.02 |
44.06 ± 15.24 |
P<0.001 |
BMI, kg/m2 |
21.52 ± 2.76 |
21.97 ± 2.63 |
22.51 ± 2.68 |
22.81 ± 2.62 |
P<0.001 |
SBP, mmHg |
119.74 ± 17.45 |
121.51 ± 16.75 |
123.51 ± 16.97 |
125.93 ± 16.89 |
P<0.001 |
DBP, mmHg |
71.90 ± 10.53 |
73.34 ± 10.53 |
74.95 ± 10.86 |
75.82 ± 10.56 |
P<0.001 |
FPG, mmol/L |
5.13 ± 0.86 |
5.15 ± 0.75 |
5.22 ± 0.83 |
5.19 ± 0.84 |
P<0.001 |
ALB, g/L |
44.17 ± 2.80 |
44.45 ± 2.68 |
44.48 ± 2.73 |
44.36 ± 2.73 |
P<0.001 |
ALT, U/L |
19.79 ± 19.02 |
20.94 ± 17.90 |
21.67 ± 15.68 |
22.94 ± 16.83 |
P<0.001 |
AST, U/L |
23.05 ± 10.47 |
23.43 ± 12.21 |
23.41 ± 9.69 |
24.07 ± 10.04 |
P<0.001 |
BUN, mmol/L |
4.50 ± 1.46 |
4.55 ± 1.41 |
4.62 ± 1.32 |
4.74 ± 1.35 |
P<0.001 |
Cr, μmol/L |
78.15 ± 30.16 |
78.86 ± 26.43 |
80.67 ± 22.16 |
82.71 ± 22.45 |
P<0.001 |
TC, mmol/L |
3.89 ± 0.53 |
4.50 ± 0.44 |
4.93 ± 0.47 |
5.42 ± 0.48 |
P<0.001 |
TG, mmol/L |
1.21 ± 0.98 |
1.33 ± 0.97 |
1.47 ± 0.34 |
1.55 ± 0.86 |
P<0.001 |
HDL-c, mmol/L |
1.45 ± 0.39 |
1.44 ± 0.35 |
1.43 ± 0.36 |
1.44 ± 0.34 |
P<0.001 |
UA, μmol/L |
273.13 ± 89.20 |
284.31 ± 87.12 |
293.95 ± 87.76 |
301.62 ± 86.63 |
P<0.001 |
Abbreviations: NAFLD = nonalcoholic fatty liver disease, ALB = albumin, ALT = alanine aminotransferase, AST = aspartate aminotransferase, BMI = body mass index, BUN =blood urea nitrogen, Cr = creatinine, SBP = systolic blood pressure, DBP = diastolic blood pressure, FPG = fasting plasma glucose, HDL-c = high-density lipoprotein cholesterol, LDL-c = low-density lipoprotein cholesterol, UA = uric acid, TC = total cholesterol, TG = triglyceride.
Association of normal LDL-c levels with prevalence rates of NAFLD
As shown in Table 1, the prevalence of NAFLD from Q1 to Q4 was 19.34%, 25.86%, 35.65% and 42.08% respectively. To further understand the relationship between LDL-c level and the prevalence of NAFLD, the OR for NAFLD were calculated after adjusting for confounding variables. Using Q1 as a reference, the OR for NAFLD was 1.45 (95% CI 1.31-1.61), 2.31 (95% CI 2.11-2.53), 2.31 (95% CI 2.11, 2.53) for Q2, Q3, and Q4, respectively in model 1. Adjustment for age, sex, BMI (model 2) substantially attenuated the magnitude of the OR when comparing Q4 with Q1. In the fully adjusted model (model 3), the relationship between LDL-c and NAFLD remained statistically significant in Q2, Q3 and Q4 with OR of 1.31 (95% CI 1.14-1.54), 1.73 (95% CI 1.46-2.04) and 1.82 (95% CI 1.49-2.23), respectively (Table 3). These results suggest that patients with higher LDL-c levels are more likely to develop NAFLD than subjects with lower LDL-c levels.
Table 3: Adjusted Odds Ratio or Hazard ratio (95% Confidence Interval) for Nonalcoholic Fatty Liver Disease.
Quartiles of LDL-C |
NAFLD Case |
Model 1 |
Model 2 |
Model 3 |
|---|---|---|---|---|
Cross-section population |
||||
Q1 |
953 (4926) |
1.00 (1.00, 1.00) |
1.00 (1.00, 1.00) |
1.00 (1.00, 1.00) |
Q2 |
872 (3372) |
1.45 (1.31, 1.61) |
1.25 (1.10, 1.42) |
1.31 (1.14, 1.54) |
Q3 |
1815 (5091) |
2.31 (2.11, 2.53) |
1.63 (1.46, 1.82) |
1.73 (1.46, 2.04) |
Q4 |
2049 (4869) |
3.02 (2.77, 3.32) |
1.84 (1.65, 2.05) |
1.82 (1.49, 2.23) |
P value |
<0.001 |
<0.001 |
<0.001 |
|
Longitudinal population |
||||
Q1 |
837 (5739) |
1.00 (1.00, 1.00) |
1.00 (1.00, 1.00) |
1.00 (1.00, 1.00) |
Q2 |
945 (5087) |
1.23 (1.12, 1.35) |
1.19 (1.08, 1.31) |
1.18 (1.05, 1.33) |
Q3 |
1183 (5116) |
1.57 (1.44, 1.72) |
1.28 (1.17, 1.40) |
1.19 (1.04, 1.38) |
Q4 |
1288 (4491) |
2.02 (1.86, 2.21) |
1.57 (1.43, 1.72) |
1.46 (1.27, 1.70) |
P value |
<0.001 |
<0.001 |
<0.001 |
|
Model 1 is univariate analysis. Model 2 is adjusted for sex, age, body mass index. Model 3 is adjusted for sex, age, body mass index, systolic blood pressure, fasting plasma glucose, albumin, alanine aminotransferase, aspartate aminotransferase, blood urea nitrogen, creatinine, serum uric acid, total cholesterol, triglyceride, high-density lipoprotein cholesterol and uric acid.
Figure 2 shows forest plots of OR for quartiles of LDL-c in the cross-sectional population. A stratified analysis for risk factors of metabolic syndrome showed a successive increase in OR from Q1 to Q4. The strongest link between increasing levels of LDL-c and the prevalence of NAFLD was observed in subjects with TC < 1.7 mmol/L (OR Q4 VS. Q1 was 2.24, 95% CI 1.60-3.14). The weakest link was observed in subjects with FPG ≥ 5.6 mmol/L (OR Q4 VS. Q1 was 1.25 95% CI 0.83-1.89).

Figure 2: Forest plots of odds ratios (OR) (95% confidence interval [CI]) for quartiles of LDL-c in the cross-sectional population. Confounding variables contained age, sex, body mass index, systolic blood pressure, fasting plasmaglucose, albumin, alanine aminotransferase, aspartate aminotransferase, blood urea nitrogen, creatinine, total cholesterol, triglyceride, high-density lipoprotein cholesterol, and uric acid. Increasing trends of OR for NAFLD with the increases in normal LDL-c levels are shown. Q1: ≤ 2.00 mmol/L, Q2: 2.10-2.35 mmol/L, Q3: 2.36-2.68 mmol/L and Q4: 2.69-3.12 mmol/L.
Higher LDL-c within normal range predicts increase risk of NAFLD
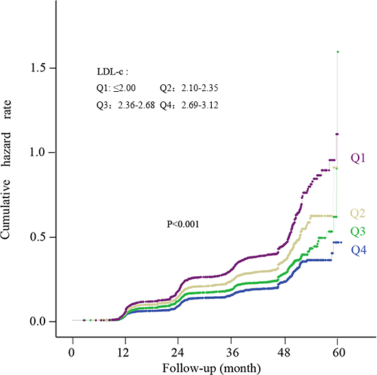
To verify whether an increased level of LDL-c with the normal range may play a causal role in the development of NAFLD, a longitudinal population was included. 20433 subjects finally completed follow-up data, which 4253 subjects had developed into NAFLD. In unadjusted model 1, the HR for NAFLD was 1.23 (95% CI 1.12-1.35), 1.57 (95% CI 1.44-1.72), 2.02 (95% CI 1.86-2.21) for Q2, Q3, and Q4, respectively. Adjusting for fully adjusted model (model 3), the relationship between LDL-c and NAFLD remained significant in Q2, Q3 and Q4 with HR of 1.18 (95% CI 1.05-1.33), 1.19 (95% CI 1.04-1.38) and 1.46 (95% CI 1.27-1.70), respectively (Table 3). Figure 3 shows the cumulative HR of NAFLD in groups of LDL-c by Kaplan-Meier analysis. Figure 4A and 4B shows the unadjusted and adjusted OR and HR of normal LDL-c levels for NAFLD cross-sectional population and longitudinal population, respectively. These results indicated that normal LDL-c level may be an important factor that predicts the development of NAFLD and the risk may increase with an increased level of LDL-c.

Figure 3: Kaplan-Meier curves reflecting cumulative incidence rate of NAFLD in the longitudinal population according to quartiles of normal LDL-c level. Subjects with higher LDL-c level within the normal range had an increased cumulative incidence rate of NAFLD. P value for trend is computed from Cox analysis.

Figure 4. Unadjusted and adjusted odds ratios (OR) and hazard ratios (HR) for NAFLD. A. and B. showed the OR and HR of LDL-c in the cross-sectional population and longitudinal population, respectively. Model 1 is a univariate analysis. Model 2 is adjusted for sex, age, body mass index. Model 3 is adjusted for sex, age, body mass index, systolic blood pressure, fasting plasma glucose, albumin, alanine aminotransferase, aspartate aminotransferase, blood urea nitrogen, creatinine, serum uric acid, total cholesterol, triglyceride, high-density lipoprotein cholesterol and uric acid. Q1: ≤ 2.00 mmol/L, Q2: 2.10-2.35 mmol/L, Q3: 2.36-2.68 mmol/L and Q4: 2.69-3.12 mmol/L.
DISCUSSION
Dyslipidemia in patients with NAFLD is characterized by increased levels of serum triglycerides and decreased levels of HDL-c [6,15]. Previous studies have demonstrated that patients with NAFLD have significantly increased levels of oxidized LDL-c [16–17], LDL-migration index [18], which are both highly atherogenic. There are important differences in the LDL-c and HDL-c subfractions in patients with NAFLD [17, 19–20], however, there has been no examination of the relationship between LDL-c within the normal range and the prevalence of NAFLD. To our knowledge, our study is the first and largest analysis specifically led to evaluate the association between normal LDL-c range and NAFLD risk in a nationally representative sample. We observed a significant association between LDL-c level and prevalence of NAFLD in the cross-sectional population. Firstly, the prevalence of NAFLD gradually increased as the LDL-c level increased. Secondly, the stratified analysis demonstrated that the relationship between the LDL-c and metabolic syndrome components indirectly predicted the correlation between NAFLD and LDL-c. Thirdly, logistic regression analysis further showed the elevated LDL-c level in normal range importantly contributed to the risk for NAFLD. Our results are in agreement with prior studies [12,20].
Furthermore, a prospective longitudinal population was performed to verify that the elevation of LDL-c level within the normal range appears to make a significant contribution to an increased risk of developing NAFLD. Fully adjusted for confounding variables, the relationship between LDL-c and NAFLD remained significant in Q4 with HR of 1.46 (95% CI 1.27-1.70). Thus, higher normal LDL-c level appears to increase the incidence risk of NAFLD.
LDL-c consists of large quantities of cholesteryl ester, whose production is dependent on dissociation from the exchangeable apoliproproteins of VLDL by lipoprotein lipase [21]. One possible explanation for the relationship between LDL-c level and NAFLD is insulin resistance. Insulin resistance can mechanistically explain many of the key alterations observed in lipoprotein metabolism, which leads to increasing lipolysis within white adipose tissue and concomitant increased delivery of free fatty acids to the liver and increased expression of hepatic fatty acid transport proteins [22]. In the setting of insulin resistance, hepatic lipase can be upregulated and multiple metabolic abnormalities may conspire to increase the secretion of VLDL particles [23]. Therefore, all these factors are likely to contribute to increasing the proportion of small dense LDL particles in this metabolic state. In a 32-month follow-up study, we have demonstrated that there was a significant co-existence of high levels of oxidized LDL-c, oxidized LDL-c/HDL-c, and insulin resistance [24]. As NAFLD is a condition closely related to insulin resistance, it may partially explain why elevation of LDL-c appears to significantly increase the risk of NAFLD.
However, an association between LDL-c levels and NAFLD was still observed after adjusting for features of metabolic syndrome and other known confounding variables. The MESA study demonstrated that primary lipoprotein abnormalities resulting in hepatic triglyceride over production or impaired secretion, independent of insulin resistance may be responsible for NAFLD [12]. Liver fat content is directly associated with VLDL-apoB100 concentrations and a defect in postprandial apolipoprotien B secretion, leading to triglyceride accumulation has been demonstrated in hepatic steatohepatitis [25–26]. An overproduction of apolipoprotein B100 containing particles (large VLDL, VLDL, intermediate-density lipoprotein) observed are released by the liver and converted to cholesterol rich LDL particles via lipoprotein lipase [12]. However, further studies investigating the molecular and cellular mechanisms of LDL-c in NAFLD are required.
Low-density lipoprotein receptor-related protein 6 (LRP6) is a member of the LDL receptor family and is essential for normal LDL clearance. It has a unique structure and plays a pivotal role in metabolic regulation [27]. Investigation of the relationship between LRP6 and lipid synthesis in the liver was accomplished using a human LRP6 mutation-carrying mouse model [28]. The mutant mice had elevated TG and cholesterol synthesis, resulting in lipid accumulation in their livers by activation of the rapamycin (mTOR) pathway [29]. Furthermore, patients carrying an LRP6 mutation exhibit elevated levels of LDL-c, TC, and fasting glucose, which constitute the risk factors of the diseases including hypertriglyceridemia [30], hypercholesterolemia [31], atherosclerosis [32] and NAFLD [28]. These findings have greatly advanced the understanding of disease pathogenesis.
Our study may have some limitations and merit comment. The main limitation is lack of anthropometric parameters regarding central obesity, lifestyle, and dietary factors, which may be helpful to better understand the relationship between NAFLD and LDL-c levels. Secondly, LDL subclasses and LDL-migration index in different stages of NAFLD should be considered, since it is important and meaningful to identify the differences between subjects with SS and NASH. Thirdly, although the use of liver biopsy is the gold standard for assessing NAFLD, the ultrasonography is widely used in epidemiological surveys of NAFLD because of its safety, economical and practical utility.
In conclusion, we have demonstrated that increased levels of LDL-c within the normal range have independently relationship with an elevated risk of NAFLD in the both a cross-sectional and longitudinal population. The LDL-c levels within the normal range appear to play a significant role on the prevalence and incidence of NAFLD. Therefore, we propose that LDL-c evaluation and control should be an integral component of clinical management of the general population. Surveillance and treatment of dyslipidemia is therefore paramount for the prevention and treatment of NAFLD and cardiovascular disease.
MATERIALS AND METHODS
Study design
The cross-sectional population consisted of 27374 individuals who underwent a health examination in the First Affiliated Hospital of Wenzhou Medical University from January 2010 to December 2010. The longitudinal population was based on a prospective study and conducted from 33153 initially NALFD-free individuals who underwent an annual health examination in Wenzhou Medical Center of Wenzhou People’s Hospital. The study period was initiated in January 2010 and concluded in December 2014.
The exclusion criteria were as follows: alcohol abuse; those taking antihypertensive agents, antidiabetic agents, lipid-lowing agents; other known causes of chronic liver disease; LDL-c > 3.12mmol/L and subjects whose data were missing or who were lost to follow-up.
Verbal informed consent was obtained from each subject before their participation in the study. The personal information of subjects was erased and replaced by the health examination number. The research protocol of the study was approved by the ethics committee of the First Affiliated Hospital of Wenzhou Medical University and Wenzhou People’s Hospital, respectively.
Diagnostic criteria
A diagnosis of NAFLD was made in reference to Guidelines for the assessment and management of NAFLD in Asia-Pacific region [33]. In general, NAFLD can be diagnosed when imaging tests indicate hepatic steatosis, excluding alcohol abuse and specific diseases that could lead to steatosis. Hepatic steatosis was defined by the presence of at least 2 of 3 abnormal findings on abdominal ultrasonography: diffusely increased echogenicity (“bright”) liver with liver echogenicity greater than kidney or spleen, vascular blurring, or deep attenuation of ultrasound signal. The ultrasound was assessed by 2 experienced imaging specialists who were blinded to the examinee history and the study during the ultrasonic examination. A third imaging specialist was invited if the diagnoses made by the 2 imaging specialists were not in agreement or inconclusive. Metabolic syndrome represents a cluster of physiological and anthropometric abnormalities, requiring ≥ 3 of the following 5 factors: (1) waist circumference ≥ 90 cm in men, ≥ 80 cm in women (2) serum triglyceride ≥1.7 mmol/L (3) high density lipoprotein cholesterol <1.03 mmol/L in men, <1.29 mmol/L in women (4) systolic blood pressure ≥ 130 mmHg or diastolic blood pressure ≥85 mmHg (5) fasting glucose ≥5.6 mmol/L.
Data collection
Clinical examination and data recording were conducted in the morning after an overnight fast and subjects were also instructed to refrain from exercise during the day before their examination. Medical history and a health habit inventory were taken by a physician.
Standing height and body weight were measured without shoes or thick clothing. Body mass index (BMI, kg/m2), used as an index of body fat, was calculated as weight in kilograms divided by height in meters squared. Blood pressure, including systolic blood pressure (SBP) and diastolic blood pressure (DBP), was measured using an automated sphygmomanometer with the subject in a quite environment and in a sitting position.
Fasting blood samples were collected from each subject in an antecubital vein and were used for the analysis of biochemical measurements serum samples without frozen. The experimental procedures were consistent throughout the study period and the laboratories were both certified according to International Oragnization Standardization. The biochemical measurements included albumin (ALB), alanine aminostransferase (ALT), aspartate aminotranferase (AST), fasting plasma glucose (FPG), blood urea nitrogen (BUN), creatinine (Cr), uric acid (UA), total cholesterol (TC), triglyceride (TG), HDL-c, and LDL-c. All values were measured by an automated analyzer (Abbott AxSYM) using standard methods.
Statistical analysis
In order to derive a deeper understanding of the relationship between normal range of LDL-c levels and the prevalence of NAFLD, all subjects were classified into 4 groups by quartiles statistically. Quartiles in the cross-sectional population were categorized separately as follows: Q1: ≤ 2.0 mmol/L, Q2: 2.1-2.35 mmol/L, Q3: 2.36-2.68 mmol/L, Q4: 2.69-3.12 mmol/L. The grouping in the longitudinal population had the same LDL-c range as the cross-sectional population.
In the cross-sectional population, the OR and 95% confidence intervals (CIs) for NAFLD were calculated after adjusting for known confounding variables across each quartile of LDL-c concentration using multivariate logistic regression analysis. HR based on Cox’s proportional hazards regression were determined in the longitudinal population analysis. Kaplan-Meier analysis was applied to calculate the cumulative hazard of NAFLD during the follow-up. Multivariable models included sex, age, BMI, FPG, ALB, ALT, AST, BUN, Cr, SUA, TC, TG, HDL-c, SBP and UA.
Continuous variables were summarized as mean ± standard deviation (SD), and categorical variables were displayed as counts or percentages (%). The characteristics of the study population according to LDL-c quartiles were compared using a one-way analysis of variance (ANOVA) for continuous variables and χ2-test for categorical variables. All P-values are 2-sided and a P value of <0.05 was considered statistically significant. Analyses were performed in SPSS version 18.0 (SPSS, Chicago, IL).
Abbreviations
ALB = albumin, ALT = alanine aminotransferase, AST = aspartate aminotransferase, BMI = body mass index, BUN = blood urea nitrogen, CIs = confidence intervals, HR = hazard ratios, Cr = creatinine, DBP = diastolic blood pressure, FPG = fasting plasma glucose, HDL = high-density lipoprotein, HDL-c = high-density lipoprotein cholesterol, LDL = low-density lipoprotein, LDL-c = low-density lipoprotein cholesterol, LRP6 = Low-density lipoprotein receptor-related protein 6, VLDL = very low density lipoprotein, standard deviation = SD, NAFLD = nonalcoholic fatty liver disease, OR = odds ratios, UA = uric acid, SBP = systolic blood pressure, TC = total cholesterol, TG = triglyceride, NASH = nonalcoholic steatohepatitis, CVD = cardiovascular disease
ACKNOWLEDGMENTS
Author contributions: Dan-Qin Sun: data collection and analysis, drafted the manuscript. Wen-Yue Liu: data collection and analysis. Sheng-Jie Wu: data collection and analysis. Gui-Qi Zhu: study design and statistic analysis. Martin Braddock: participated in its design and helped to draft the manuscript. Dong-Chu Zhang: data collection. Ke-Qing Shi: data collection and drafted the manuscript. Dan Song: study design and helped to draft the manuscript. Ming-Hua Zheng: conceived of the study, participated in its design, study supervision, obtained funding and helped to draft the manuscript. All authors have made an intellectual contribution to the manuscript and approved the submission.
CONFLICTS OF INTEREST
The authors report no declarations of interest.
FUNDING INFORMATION
This work was supported by grants from National Natural Science Foundation of China (81500665), Health Bureau of Zhejiang Province (2010KYB070), Research Foundation of Education Bureau of Zhejiang Province (Y201009942) and Project of New Century 551 Talent Nurturing in Wenzhou.
REFERENCES
1. Sun DQ, Wu SJ, Liu WY, Lu QD, Zhu GQ, Shi KQ, Braddock M, Song D, Zheng MH. Serum uric acid: a new therapeutic target for nonalcoholic fatty liver disease. Expert opinion on therapeutic targets. 2015;doi:10.1517/14728222.2016.1096930.
2. Angulo P. Nonalcoholic fatty liver disease. The New England journal of medicine. 2002;346:1221–1231.
3. Ahmed M. Non-alcoholic fatty liver disease in 2015. World journal of hepatology. 2015;7:1450–1459.
4. Mellinger JL, Pencina KM, Massaro JM, Hoffmann U, Seshadri S, Fox CS, O'Donnell CJ, Speliotes EK. Hepatic steatosis and cardiovascular disease outcomes: An analysis of the Framingham Heart Study. Journal of hepatology. 2015;63:470–476.
5. Liu H, Lu HY. Nonalcoholic fatty liver disease and cardiovascular disease. World journal of gastroenterology. 2014;20:8407–8415.
6. Targher G, Day CP, Bonora E. Risk of cardiovascular disease in patients with nonalcoholic fatty liver disease. The New England journal of medicine. 2010;363:1341–1350.
7. Bonci E, Chiesa C, Versacci P, Anania C, Silvestri L, Pacifico L. Association of Nonalcoholic Fatty Liver Disease with Subclinical Cardiovascular Changes: A Systematic Review and Meta-Analysis. BioMed research international. 2015;2015:213737.
8. Chatrath H, Vuppalanchi R, Chalasani N. Dyslipidemia in patients with nonalcoholic fatty liver disease. Seminars in liver disease. 2012;32:22–29.
9. Wu SJ, Zou H, Zhu GQ, Wang LR, Zhang Q, Shi KQ, Han JB, Huang WJ, Braddock M, Chen YP, Zheng MH. Increased levels of systolic blood pressure within the normal range are associated with significantly elevated risks of nonalcoholic fatty liver disease. Medicine. 2015;94:e842.
10. Cohen DE, Fisher EA. Lipoprotein metabolism, dyslipidemia, and nonalcoholic fatty liver disease. Seminars in liver disease. 2013;33:380–388.
11. Gaggini M, Morelli M, Buzzigoli E, DeFronzo RA, Bugianesi E, Gastaldelli A. Non-alcoholic fatty liver disease (NAFLD) and its connection with insulin resistance, dyslipidemia, atherosclerosis and coronary heart disease. Nutrients. 2013;5:1544–1560.
12. DeFilippis AP, Blaha MJ, Martin SS, Reed RM, Jones SR, Nasir K, Blumenthal RS, Budoff MJ. Nonalcoholic fatty liver disease and serum lipoproteins: the Multi-Ethnic Study of Atherosclerosis. Atherosclerosis. 2013;227:429–436.
13. Musso G, Bo S, Cassader M, De Michieli F, Gambino R. Impact of sterol regulatory element-binding factor-1c polymorphism on incidence of nonalcoholic fatty liver disease and on the severity of liver disease and of glucose and lipid dysmetabolism. The American journal of clinical nutrition. 2013;98:895–906.
14. Targher G, Bertolini L, Rodella S, Lippi G, Franchini M, Zoppini G, Muggeo M, Day CP. NASH predicts plasma inflammatory biomarkers independently of visceral fat in men. Obesity (Silver Spring). 2008;16:1394–1399.
15. Speliotes EK, Massaro JM, Hoffmann U, Vasan RS, Meigs JB, Sahani DV, Hirschhorn JN, O'Donnell CJ, Fox CS. Fatty liver is associated with dyslipidemia and dysglycemia independent of visceral fat: the Framingham Heart Study. Hepatology. 2010;51:1979–1987.
16. Chalasani N, Deeg MA, Crabb DW. Systemic levels of lipid peroxidation and its metabolic and dietary correlates in patients with nonalcoholic steatohepatitis. The American journal of gastroenterology. 2004;99:1497–1502.
17. Norris AL, Steinberger J, Steffen LM, Metzig AM, Schwarzenberg SJ, Kelly AS. Circulating oxidized LDL and inflammation in extreme pediatric obesity. Obesity (Silver Spring). 2011;19:1415–1419.
18. Imajo K, Hyogo H, Yoneda M, Honda Y, Kessoku T, Tomeno W, Ogawa Y, Taguri M, Mawatari H, Nozaki Y, Fujita K, Kirikoshi H, Saito S, et al. LDL-migration index (LDL-MI), an indicator of small dense low-density lipoprotein (sdLDL), is higher in non-alcoholic steatohepatitis than in non-alcoholic fatty liver: a multicenter cross-sectional study. PloS one. 2014;9:e115403.
19. Kantartzis K, Rittig K, Cegan A, Machann J, Schick F, Balletshofer B, Fritsche A, Schleicher E, Haring HU, Stefan N. Fatty liver is independently associated with alterations in circulating HDL2 and HDL3 subfractions. Diabetes care. 2008;31:366–368.
20. Sonmez A, Nikolic D, Dogru T, Ercin CN, Genc H, Cesur M, Tapan S, Karslioglu Y, Montalto G, Banach M, Toth PP, Bagci S, Rizzo M. Low- and high-density lipoprotein subclasses in subjects with nonalcoholic fatty liver disease. Journal of clinical lipidology. 2015;9:576–582.
21. Cooper AD. Hepatic uptake of chylomicron remnants. Journal of lipid research. 1997;38:2173–2192.
22. Kawano Y, Cohen DE. Mechanisms of hepatic triglyceride accumulation in non-alcoholic fatty liver disease. Journal of gastroenterology. 2013;48:434–441.
23. Lewis GF, Murdoch S, Uffelman K, Naples M, Szeto L, Albers A, Adeli K, Brunzell JD. Hepatic lipase mRNA, protein, and plasma enzyme activity is increased in the insulin-resistant, fructose-fed Syrian golden hamster and is partially normalized by the insulin sensitizer rosiglitazone. Diabetes. 2004;53:2893–2900.
24. Linna MS, Ahotupa M, Kukkonen-Harjula K, Fogelholm M, Vasankari TJ. Co-existence of insulin resistance and high concentrations of circulating oxidized LDL lipids. Annals of medicine. 2015;47:394–398.
25. Chan DC, Watts GF, Gan S, Wong AT, Ooi EM, Barrett PH. Nonalcoholic fatty liver disease as the transducer of hepatic oversecretion of very-low-density lipoprotein-apolipoprotein B-100 in obesity. Arteriosclerosis, thrombosis, and vascular biology. 2010;30:1043–1050.
26. Musso G, Gambino R, De Michieli F, Cassader M, Rizzetto M, Durazzo M, Faga E, Silli B, Pagano G. Dietary habits and their relations to insulin resistance and postprandial lipemia in nonalcoholic steatohepatitis. Hepatology. 2003;37:909–916.
27. Go GW. Low-Density Lipoprotein Receptor-Related Protein 6 (LRP6) Is a Novel Nutritional Therapeutic Target for Hyperlipidemia, Non-Alcoholic Fatty Liver Disease, and Atherosclerosis. Nutrients. 2015;7:4453–4464.
28. Go GW, Srivastava R, Hernandez-Ono A, Gang G, Smith SB, Booth CJ, Ginsberg HN, Mani A. The combined hyperlipidemia caused by impaired Wnt-LRP6 signaling is reversed by Wnt3a rescue. Cell metabolism. 2014;19:209–220.
29. Wang Y, Shi M, Fu H, Xu H, Wei J, Wang T, Wang X. Mammalian target of the rapamycin pathway is involved in non-alcoholic fatty liver disease. Molecular medicine reports. 2010;3:909–915.
30. Mani A, Radhakrishnan J, Wang H, Mani MA, Nelson-Williams C, Carew KS, Mane S, Najmabadi H, Wu D, Lifton RP. LRP6 mutation in a family with early coronary disease and metabolic risk factors. Science. 2007;315:1278–1282.
31. Ye ZJ, Go GW, Singh R, Liu W, Keramati AR, Mani A. LRP6 protein regulates low density lipoprotein (LDL) receptor-mediated LDL uptake. The Journal of biological chemistry. 2012;287:1335–1344.
32. Keramati AR, Singh R, Lin A, Faramarzi S, Ye ZJ, Mane S, Tellides G, Lifton RP, Mani A. Wild-type LRP6 inhibits, whereas atherosclerosis-linked LRP6R611C increases PDGF-dependent vascular smooth muscle cell proliferation. Proceedings of the National Academy of Sciences of the United States of America. 2011;108:1914–1918.
33. Farrell GC, Chitturi S, Lau GK, Sollano JD. Guidelines for the assessment and management of non-alcoholic fatty liver disease in the Asia-Pacific region: executive summary. Journal of gastroenterology and hepatology. 2007;22:775–777.