Oncotarget

Reviews:

Relationship between ABO blood group antigens and Rh factor with breast cancer: A systematic review and meta-analysis

PDF  |  Full Text  |  Supplementary Files  |  How to cite  |  Press Release

Oncotarget. 2025; 16:311-326. https://doi.org/10.18632/oncotarget.28718

Metrics: PDF 2730 views  |  Full Text 9669 views

Rahaf Alchazal1,*, Khaled J. Zaitoun2,3,*, Mohammad Al-Qudah3,4, Ghena Zaitoun5, Amira M. Taha6, Othman Saleh4, Mohammad Alqudah1, Mohammad Abuawwad7, Mohammad Taha7 and Abdullah Yousef Aldalati3

1 Faculty of Medicine, Yarmouk University, Irbid, Jordan

2 Department of Neurosurgery, Johns Hopkins University School of Medicine, Baltimore, MD 21205, USA

3 Faculty of Medicine, Jordan University of Science and Technology, Irbid, Jordan

4 Faculty of Medicine, Hashemite University, Amman, Jordan

5 Department of Biology, Edmonds College, Lynnwood, WA 98036, USA

6 Faculty of Medicine, Fayoum University, Egypt

7 Faculty of Medicine, Cairo University Kasr Alainy, Egypt

* These authors contributed equally to this work

Correspondence to:

Khaled J. Zaitoun, email: [email protected]

Keywords: breast cancer; cancer risk factors; blood group antigens; tumor

Received: November 13, 2024     Accepted: April 17, 2025     Published: May 09, 2025

Copyright: © 2025 Alchazal et al. This is an open access article distributed under the terms of the Creative Commons Attribution License (CC BY 4.0), which permits unrestricted use, distribution, and reproduction in any medium, provided the original author and source are credited.

ABSTRACT

Background: Breast cancer is a type of cancer that can affect both males and females, but it is widespread among women. Blood types may be associated with breast cancer, as many studies have reported on this relationship but rarely described it. The primary objective of our research is to summarize and analyze the available evidence to produce comprehensive and accurate information that can be used to make evidence-based decisions.

Methods: Researchers searched for studies on breast cancer patients and ABO blood groups across four major databases: PubMed, Scopus, Web of Science, and Google. The outcomes of the studies were presented as a relative risk and odds ratio with a 95% confidence interval.

Results: Twenty-nine case-control studies with 13029 breast cancer patients. Blood type A was the most common blood type among patients. For blood type A, there was an association with breast cancer (OR = 1.18, 95% CI: 1.03–1.36). Blood types B, AB, and Rh factor showed no significant association with breast cancer (OR = 0.97, 95% CI: 0.86–1.11, OR = 1.05, 95% CI: 0.89–1.25, and OR = 1.14, 95% CI: 0.81–1.60 respectively) in compare to blood type A.

Conclusions: This study highlights the potential of blood type A as a risk factor for breast cancer compared to blood type O. This relationship was insignificant for blood types B, AB, or Rh. Further studies are needed to understand the mechanisms behind the blood type and breast cancer correlation.

Introduction

Breast cancer is the most prevalent form of cancer among females, and the second-leading cause of cancer mortality [1, 2]. Breast cancer mainly occurs in middle-aged and older women [3]. The cause of this neoplasm is unclear, but available epidemiological data point to three major contributors that may be important in breast cancer: environmental, genetic, and hormonal factors [4]. Many risk factors are associated with the development of breast cancer; ABO blood groups are rarely considered as a risk factor for breast cancer. However, some studies reported a causal relationship between certain blood groups and increased susceptibility to breast cancer and not a cause of breast cancer [5].

The relationship between blood type and disease has been studied for many years, uncovering numerous associations between specific blood types and an increased risk of various illnesses. The correlation between the ABO blood group system and cancer received notable attention in the mid-20th century [6]. Interest in this topic has increased since 1921 [7] when correlations between blood groups of the ABO system and pancreatic cancer were documented [810].

The ABO blood type system describes the expression of the ABH antigens found on both erythrocytes and normal tissue throughout the body such as the lungs, GI tract, breast, uterine cervix, mouth, prostate, and bladder [9]. Blood group antigens have specific functions, including the capacity to promote blood clotting and blood vessel development [11]. Additionally, antigens act as ligands for selection and aid in cell adhesion [12]. These biological characteristics might contribute to cancer’s growth [1113]. Due to these characteristics, cells resist programmed death [11] and migrate to adjacent tissues [12].

It is well known that these antigens’ expression changes during the process of cell growth and differentiation, and throughout the body’s aging process. These changes in expression have a major impact on cell-related diseases such as cancer [5].

ABO glycoproteins are misexpressed in malignant tissue, according to histological comparisons of normal and neoplastic tissue [1419]. Loss of A and B antigens in malignant tissue and oncological antigens are obtained and act as ligands for selectins [19]. Normal antigens are lost; tumor antigens are acquired, leading to metastasis [20]. These biological characteristics, antigen changes, and missing may play a role in increased susceptibility to growth and metastatic cancer.

Compared to blood type O, people with blood type A have a higher incidence of malignancies in the stomach, ovaries, salivary glands, cervix, uterus, and colon/rectum [6, 20, 21] However, several studies have emerged evaluating the association between blood type and breast cancer, yet the available evidence is inconsistent and does not provide conclusive results to support or refute the proposed hypotheses [2123]. Studies still confirm this relationship, although the mechanism behind it is still not fully understood.

The primary objective of our study is to summarize and analyze available evidence about the relationship between the ABO blood group system and breast cancer. We aim to produce a comprehensive report that provides accurate and comprehensive information that can be used to make evidence-based decisions.

Results

Database search results

The details of the database search and screening processes are illustrated in the PRISMA diagram, shown in Figure 1. Following the retrieval of studies from the initial four databases (WOS = 1184, PubMed = 160, Scopus = 3012 and Google Scholar = 968), 377 duplicated records were found and removed through EndNote software and. Then, the titles and abstracts of 4947 records were screened against our eligibility criteria, yielding 164 records that warranted further full-text screening. Finally, 29 studies were included in the qualitative and quantitative synthesis of our review.

PRISMA flow chart of the included studies

Figure 1: PRISMA flow chart of the included studies.

Characteristics of the included studies

Twenty-nine studies included 13029 patients with breast cancer and 717848 controls. Among the breast cancer patients, blood group A was the most reported, followed by O, B and AB. All included studies were case-control (Table 1) distribution of blood types and rh factors in case and control groups were shown in (Table 2) and the classification of breast cancer cases by histology type and receptor status was shown in (Tables 3 and 4).

Table 1: Baseline characteristics of the included studies

AuthorsYearStudy titleLocationSource of controlStudy designCase age, mean(SD)Female control, (%)Female case, (%)
Abbasi et al. [24]2009Risk Factors for Breast Cancer in Iranian Women: A Case-Control StudyIranHospitalCase Control100%100%
Abobaker et al. [25]2014Incidence of Breast Cancer in a Primary Hospital in Relation to ABO Blood Groups SystemPenang, MalaysiaHospitalCase Control100%32%
Akammu et al. [4]2002The association between cancer of the breast and the abo and rhesus d antigen phenotypes in lagos, nigeria: a case-control studyLagos, NigeriaHospitalCase Control99%
Al-Ganimi et al. [26]2020The Relation between the Blood Groups, Rhesus Factor, and Breast Cancer in the Holy Karbala GovernorateKarbala, IraqHospitalCase Control43.08 ±1.37
Aly et al. [27]2014Association of ABO Blood Group and Risk of Breast CancerEgyptHospitalCase Control62.0 ± 4100%100%
Anderson et al. [28]1984Blood Type A and Familial Breast CancerTexas, USMixedCase Control
Aird, et al. [29]1954The blood groups in relation to peptic ulceration and carcinoma of colon, rectum, breast, and bronchusEnglandMixedCase Control100%
Bhartiaya et al. [30]2015Association of ABO Blood Group in Breast CancerIndiaHospitalCase ControlMedian (Range); 55 (25–87)100%100%
Bothou et al. [31]2019Blood groups type linked to breast cancer in a Greek cohort of women - a case control studyAthens, GreeceHospitalCase Control100%100%
Costantini et al. [32]1990Role of Blood Groups as Prognostic Factors in Primary Breast CancerItaly, GenoaHospitalCase Control
DIXIT et al. [33]2020Epidemiological study of breast cancer patients and their association with abo blood groupIndiaHospitalCase Control100%100%
Dogan et al. [34]2022The frequency and prognostic significance of ABO/Rh blood groups in male breast cancer patients A multicenter studyTurkeySocialCase Control100% Male100% Male
Flavargani et al. [35]2012Study of the association between blood types and breast cancer among Isfahanian women with breast cancerIranSocialCase Control100%100%
Kumar et al. [36]2015Incidence of Breast Cancer and ABO Blood group: A Hospital Based StudyIndiaSocialCase Control100%100%
Mehdi et al. [37]2008Relationship between ABO blood group and breast cancer at AL-Nassyria city/IraqIraqSocialCase Control
Mjali et al. [38]2019Association between Female Breast Cancer and Different ABO Blood Groups & Rh Factor in the Sulaymaniyah Province of Iraqi KurdistanIraqSocialCase Control47.37 ± 9.7100%100%
Mohammad et al. [39]2016The Association and Relation of ABO Blood Group and Secretor status with the Breast CancerIraqSocialCase Control100%100%
Newell et al. [40]1974ABO Blood Groups and CancerUnited StatesSocialCase Control100%100%
Ronco et al. [41]2009Rh factor, family history and risk of breast cancer: A case–control study in UruguayUruguaySocialCase Control100%100%
Stamatakos et al. [42]2009Breast cancer incidence in Greek women in relation to ABO blood groups and Rh factorGreeceHospitalCase Control55.31100%100%
Zaki et al. [43]2013The Association and Relation of ABO Blood Group with the Breast Cancer in Kirkuk GovernorateKirkuk, IraqHospitalCase Control100%100%
Zouine et al. [44]2016ABO blood groups in relation to breast carcinoma incidence and associated prognostic factors in Moroccan womenMoroccoSocialCase Control62.1 ± 12.8100%
Goldenberg et al. [45]1958Breast carcinoma and abo blood groupsUnited StatesSocialDouble arm Retrospective
Sujatha et al. [46]2016Association of ABO blood group and risk of female breast cancer-A retrospective studyIndiaHospitalDouble arm45.6 ± 11.6100%
Joudaki et al. [47]2022Study of the Relationship between ABO Blood Group Types and Breast Cancer and Cervix Cancer in Khuzestan Province, IranIranSocialA retrospective study.
Alhusseini et al. [48]2016Study of blood groups antigens frequency for ductal breast carcinoma patients in some Iraqi womenIraqSocialCase Control100%100%
Urun et al. [49]2012ABO and Rh blood groups frequency in women with HER2 positive breast cancerTurkeySocialCase ControlMedian (Range); 47 (20–80)100%100%
Ray et al. [50]1980Blood Groups and Cancer in IndiaIndiaSocialCase Control
Hartmann et al. [51]1964Abo blood-groups and cancerNorwayMixedCase Control

Table 2: Distribution of blood types and Rh factor in case and control groups

First author (Year)CaseControlTotalCaseControl
ABABOABABO
Abbasi [24] (2009)2714610343351653297150147
Abobaker [25] (2014)211713193035165921070140
Aird [29] (1954)4171022946914956335111081761138043101737026
Akammu [4] (2002)282235461646571121324721072365
Al-Ganimi [26] (2020)13512856220886931125852539313
Alhusseini [48] (2016)2510224327241138200100100
Aly [27] (2014)85281235361793025216092
Anderson [28] (1984)106125794113775052042668888121645254919096
Bhartiaya [30] (2015)5341254530861688384164220
Bothou [31] (2019)12511125444191066341202139
Costantini [32] (1990)13047121268440243184791262115931520844
Dixit [33] (2020)4278125529801585396187209
Dogan [34] (2022)522624355138618590962442560122297137122160
Flavargani [35] (2012)50419731198717153549173376
Goldenberg [45] (1958)4131112944730590888132643317076915100075915
Hartmann [51] (1964)8301095660515139270311731247633091160031491
Joudaki [47] (2022)2426950837874802095119693003110929922
Kumar [36] (2015)851402914656752544600400200
Mehdi [37] (1991)120202040727723107479200279
Mjali [38] (2019)136703925520879401731000500500
Mohammad [39] (2016)571044021312516111150
Newell [40] (1974)12575222151649428264987437550
Ray [50] (1980)273558793882114300271929861011912988821
Ronco [41] (2009)935171371663442307801252549
Stamatakos [42] (2009)79239551302917124466166300
Sujatha [46] (2016)39264313926431200100100
Urun [49] (2012)14542218699253610178675002311529422821
Zaki [43] (2013)160242145886242108550250300
Zouine [44] (2016)13188162071170485203514946158794343265442342823
Total4961214970452152674871055213666430816673087713029717848

Table 3: Classification of breast cancer cases by histology type and receptor status

AuthorsYearHistology typeER status
Invasive ductal carcinomaOther typesUnknown+Unknown
Abbasi et al. [24]2009409218
Akammu et al. [4]20029314
Al-Ganimi et al. [26]20209070
Costantini et al. [32]19903151441655
DIXIT et al. [33]2020861012772
Dogan et al. [34]2022110207120710
Flavargani et al. [35]201214726
Mjali et al. [38]201945941379121
Ronco et al. [41]20092032524
Stamatakos et al. [42]20091194710615
Zouine et al. [44]20163916117178193
Joudaki et al. [47]2022802452910
Alhusseini et al. [48]2016100
Urun et al. [49]2012268262041906

Table 4: PR status and HER2 overexpression

AuthorsYearPR statusHER2 overexpression
+Unknown+Unknown
Al-Ganimi et al20201204090
DIXIT et al202028706732
Dogan et al2022953111279713
Mjali et al2019360140
Stamatakos et al200910120
Zouine et al201612512419349190203
Joudaki et al202222171218
Urun et al201223615312

Quality assessment

The assessment of bias risk revealed a low risk in seven, a moderate risk in twenty studies, and a high risk in two of them. Nearly all the studies showed a high risk in the confounding domain. These findings are graphically demonstrated using traffic light and bar plots in Figures 2 and 3.

Bar plot showing the risk of bias assessment for the included studies

Figure 2: Bar plot showing the risk of bias assessment for the included studies.

Traffic light plot illustrating the risk of bias assessment for the included studies

Figure 3: Traffic light plot illustrating the risk of bias assessment for the included studies.

Associations between ABO blood groups, Rh factor, and breast cancer risk

For blood type A, there was a statistically significant association with breast cancer (OR = 1.18, 95% CI: 1.03–1.36) (Figure 4A), demonstrating high heterogeneity (I2 = 87%). Blood types B (Figure 4B) and AB (Figure 4C) showed no significant association with breast cancer (OR = 0.97, 95% CI: 0.86–1.11 and OR = 1.05, 95% CI: 0.89–1.25, respectively), both with substantial heterogeneity (I2 = 71% for B and I2 = 61% for AB). In the analysis of the Rh factor, employing the random effects model on 11 studies, no significant association was found between Rh factor and breast cancer risk (OR = 1.14, 95% CI: 0.81–1.60), with substantial heterogeneity (I2 = 72%). (Figure 5).

Forest plot of the odds ratios for breast cancer risk comparing blood groups

Figure 4: Forest plot of the odds ratios for breast cancer risk comparing blood groups.

(A) A to O, (B) B to O, (C) AB to O.

Forest plot of the odds ratios for breast cancer risk comparing Rh positive to Rh negative

Figure 5: Forest plot of the odds ratios for breast cancer risk comparing Rh positive to Rh negative.

Figure 6 illustrates the distribution of patient counts across the various blood groups and Rh factors.

Bar plot showing patient counts for ABO and Rh groups, with each bar labeled by its count and corresponding percentage

Figure 6: Bar plot showing patient counts for ABO and Rh groups, with each bar labeled by its count and corresponding percentage.

A subgroup analysis comparing studies conducted in Asia with those from non-Asian regions showed no statistically significant difference in the association between blood group A and breast cancer risk (P = 0.74). The pooled OR in the non-Asian group was statistically significant (OR = 1.13, 95% CI: 1.01–1.26), whereas the OR in the Asian group was not (OR = 1.19, 95% CI: 0.86–1.66). (Supplementary Figure 1).

Assessing publication bias

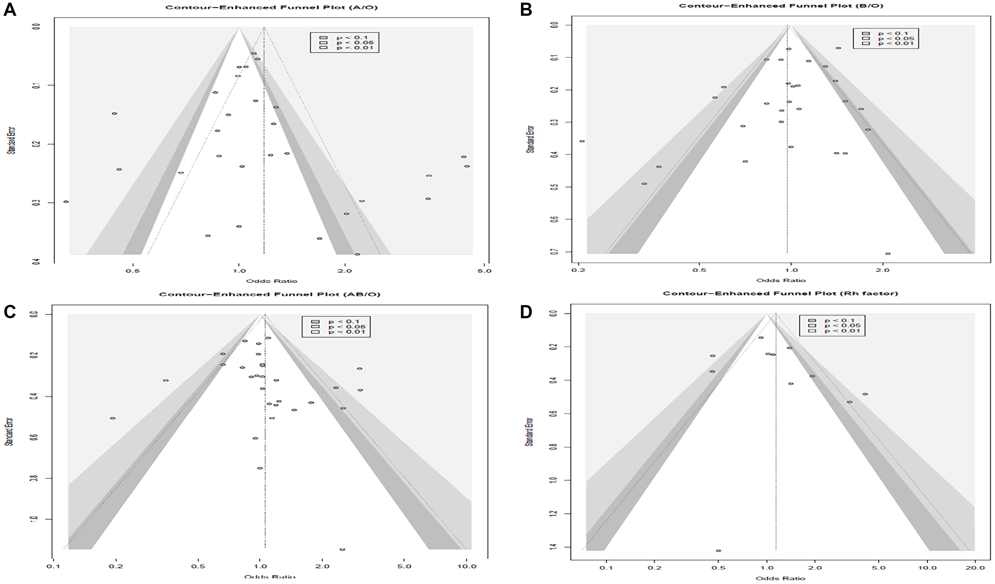
A combination of visual and statistical methods was used to evaluate publication bias. Despite the Egger’s test outcomes (Supplementary Table 1) indicating no significant publication bias across the blood group comparisons (A/O, B/O, AB/O) (Figure 7A7C) and Rh factor, visual inspection of the funnel plots for A/O, B/O, and AB/O comparisons suggested potential asymmetry. Conversely, for the Rh factor, both visual inspection and Egger’s test suggested minimal publication bias. (Figure 7D).

Funnel plots for blood group comparisons

Figure 7: Funnel plots for blood group comparisons.

(A) A to O, (B) B to O, (C) AB to O, (D) Rh positive to Rh negative.

DISCUSSION

This meta-analysis provides evidence for the possible associations between blood types and breast cancer risk. Our study, which included data from 29 studies, found a significant association between blood type A and an elevated risk of breast cancer when compared to blood type O. This relationship was statistically significant, with an odds ratio (OR) of 1.18 and a 95% CI of 1.03–1.36. However, it is noteworthy to emphasize the high heterogeneity identified in this comparison (I2 = 87%), which indicates significant variability among the included studies. Contrary to blood type A, our analysis did not find any significant associations between blood types B and AB and breast cancer risk when compared to blood type O. Furthermore, our analysis of the Rh factor, encompassing data from 11 studies, did not reveal a significant association with breast cancer risk.

The ABO gene, found on chromosome 9q34, encodes glycosyltransferases, which allow the transfer of nucleotide sugars to the H antigen, resulting in the development of the ABO blood group antigens [52]. These antigens are found not just on the surface of red blood cells, but also on many other cells and tissues, including the normal breast ductal cells [52]. Glycosyltransferases, crucial for intercellular bonding and signaling across cell membranes, significantly contribute to the advancement and dissemination of cancer [53]. Previous data has shown connections between the A blood group allele genotype and the levels of soluble intercellular adhesion molecule 1, E-selection, and P-selection in circulation [54, 55]. This suggests that blood group A might have an impact on the body’s inflammatory response, possibly contributing to the higher occurrence of breast cancer in women with blood type A.

Numerous studies have explored the connection between ABO blood groups and the development or progression of various human tumors after identifying the association between gastric cancer and blood group A in 1953 [29]. For instance, research has indicated a heightened risk of breast cancer among individuals with blood group A [56]. Similarly, a case-control study revealed an elevated risk of pancreatic cancer in individuals with blood type A [57]. In contrast, another study reported a higher risk of ovarian cancer in women with blood group A compared to those with other blood types [58]. Nevertheless, findings regarding the relationship between blood group A and breast cancer have been inconsistent [35, 44].

A previous meta-analysis [23], including 14 studies revealed no significant correlation between ABO blood types and breast cancer incidence with OR for blood type A, B, and AB. However, within the Caucasian subgroup, individuals with blood type A exhibited a slightly elevated risk of breast cancer compared to other blood groups (OR = 1.066, 95% CI, 1.001–1.134). Nonetheless, no significant associations were detected in other subgroup analyses. Furthermore, no noteworthy link was identified between the Rh factor and breast cancer, which is consistent with our findings.

Our subgroup analysis found a significant association between blood group A and breast cancer risk in non-Asian but not in Asian populations. However, the lack of a significant difference between regions (pHeterogeneity = 0.74) suggests that regional factors do not strongly influence this relationship, possibly due to differences in sample sizes, genetics, or environment.

According to a previous study, blood group A was associated with a higher risk of breast cancer than other blood groups. For instance, patients with blood group A had the highest incidence of breast cancer (45.88%), followed by those with blood group O (31.69%), blood group B (16.16%), and blood group AB (6.27%) [59]. Like our findings, Guleria et al indicated a significant association between blood group A and breast cancer compared to the control group [60]. Also, Mourali et al. found a positive risk association among Tunisian women with rapidly progressive breast cancer with blood group A [61]. In Iceland, a study in 1988 examining bilateral breast cancer risk in familial and sporadic cases found a twofold higher prevalence of type B in familial cases [62]. Other researchers have also reported an increased rate of blood type A in breast cancer patients, suggesting possible masking effects by susceptibility genes or involvement of different etiological mechanisms [28].

Abobaker et al investigated the relationship between ABO blood groups and breast cancer in a primary hospital in Penang, aiming to evaluate the ABO blood group’s utility as a preclinical marker. They identified a significant correlation (30.0%) between blood type A and breast cancer, in contrast to the incidence observed in other blood groups. Nonetheless, statistical significance was not attained for this connection, although blood categories B and O were much less prevalent among cancer patients [25]. Also, Zounie et al reported a significantly increased cancer risk in women under the age of 35 with blood type A [44]. Both blood types A and AB were correlated with a higher frequency of lymph node metastasis (p < 0.05) [44]. Blood type B was linked with breast carcinomas that exhibited overexpression of the human epidermal growth factor receptor HER2 (p < 0.05) and a heightened risk of cancer onset after the age of 70 (p < 0.001). Individuals with blood groups A, B, and AB were more prone to developing aggressive forms of breast carcinoma [44].

Multiple studies have demonstrated an association between the Rh factor and specific forms of breast cancer. Stamatakos et al. identified a greater prevalence of ductal carcinoma in patients who were Rh factor positive, irrespective of their ABO blood group [42]. The closeness of the Rh factor gene to the endothelin-converting enzyme 1 gene on chromosome 1p36.1 renders this relationship feasible. Prior studies emphasized endothelin’s pivotal function in the progression and dissemination of malignant tumors, with its receptors essential for the advancement and invasion of breast cancer cells [63]. These two genes are located in proximity within the 1p36 region [64]. Notwithstanding these findings, our study could not identify a significant association between the Rh factor and breast cancer risk, indicating that more research is required to definitively ascertain this relationship.

We believe that ABO blood groups could aid in breast cancer risk stratification and screening, women with blood type A may require more frequent check-ups, earlier mammograms, or other preventive measures, which might result in early detection.

We believe that ABO blood groups could aid in breast cancer risk stratification and screening, women with blood type A may require more frequent check-ups, earlier mammograms, or other preventive measures, which might result in early detection.

While rare cases of post-surgical ABO phenotype changes have been reported [65, 66], particularly following hematopoietic stem cell transplantation, these are not systemic and do not reflect a true genetic conversion. Since our analysis is based on baseline blood groups, such variations are unlikely to impact the observed association with breast cancer risk.

Materials and Methods

Protocol

This research was submitted to PROSPERO (CRD42022361407). Our actions are in accordance with the Preferred Reporting Items for Systematic Reviews and Meta-Analyses (PRISMA) recommendations.

Search strategy

From 1945 to 2022, we searched to verify if any new articles were published during this period suitable for our specific criteria. Still, we did not obtain any new articles. Two reviewers (K.Z.) and (M.A.) conducted a comprehensive examination of articles, and our investigation encompassed the following electronic databases: PubMed (MEDLINE), Scopus, Web of Science (WOS), and Google Scholar. The search parameters and keywords were adjusted for every database. The following keywords were used in this research (Breast) AND ((Tumor) OR (Neoplasm) OR (Cancer) OR (Carcinoma) AND (ABO Blood Group System)) OR (ABO Blood Group System) OR (Blood-Group System, ABO).

Eligibility criteria

We included studies that followed the following PICOS criteria: included articles available in English, and case-control in design including 100 or more breast cancer cases (not being) has information about ABO blood group type.

We excluded studies if they had one of the following criteria: (1) non-original research (i.e., reviews, commentaries, guidelines, editorials, correspondence, letters to editors, etc.), (2) unavailable full texts, (3) duplicated records or records with overlapping datasets, (4) no clear definition about the tumor (malignant or benign), (5) studies with sample size less than 100 and (6) non-English paper.

Study selection

The studies were retrieved from the database search, and we used EndNote for duplicate removal, then exported them into an Excel sheet for screening. At first, two authors (K.Z.) and (M.A.) screened the titles and abstracts of the retrieved articles according to our eligibility criteria. Then, relevant studies underwent full-text screenings. Then we conducted manual searches of significant publications and referenced sources mentioned in the included studies. This process was carried out by two sets of two authors who resolved their differences through discussions. Meanwhile, the senior author (R.A.) was consulted when an agreement could not be reached.

Study quality

We used the Risk of Bias in Non-Randomized Studies of Interventions (ROBINS-I) tool for non-randomized trials [67]. The task was undertaken by two authors (M.A.) and (K.Z.) who addressed their discrepancies through discussions.

Statistical analysis

We performed statistical analysis using R version 4.2.1(2022-06-23 ucrt) and packages, “meta” and “metafor”. We used the odds ratio (OR) and its 95% CI. A random effects model was applied to pool the data. We used Begg’s funnel plot and Egger’s test for publication bias assessment [68]. Assessment of heterogeneity was assessed by visual inspection of the forest plots and measured by I-square and Chi-square tests. The Chi-square test measures the existence of significant heterogeneity, while the I-square quantifies the magnitude of heterogeneity in the effect size. The heterogeneity of the included studies was assessed using the I² test and corresponding p-value, where I² < 50% indicated low heterogeneity, while I² > 50% suggested high one. Statistical significance for the overall effect size was determined by a p-value below 0.05. Studies were categorized as ‘Asian’ if they were conducted in countries classified as part of Asia according to the United Nations official statistics.

Strengths and limitations

To the best of our knowledge, our meta-analysis stands as the most comprehensive exploration of the link between ABO blood type and breast cancer to date. Our rigorous inclusion criteria, which focused on case-control study designs, lend robustness to our findings. The inclusion of diverse ethnic groups in our analysis, coupled with a sizable sample size, enhances the generalizability of our results. Moreover, the consistency across the literature in terms of study type, design, and sample size adds further credibility to our conclusions. However, it is worth noting that our analysis relied on unadjusted odds ratios, potentially overlooking the impact of other variables on the association. Additionally, the scarcity of high-quality studies may have affected the overall strength of evidence available.

While our findings suggest a statistical association between blood type A and breast cancer risk, they do not establish a direct causal relationship. Further research should explore ABO gene polymorphisms, antigen expression patterns, and immune-related pathways to better understand the underlying mechanisms. Incorporating genetic analysis may help clarify the biological relevance of ABO blood groups in breast cancer.

As a meta-analysis, this study is limited by the lack of individual patient data (IPD), preventing multivariate analysis. While meta-regression could assess confounders, the absence of sufficient stratified data in the included studies made this unfeasible. Future research with IPD or adjusted risk estimates is needed to clarify these interactions.

Conclusions

This meta-analysis represents the most comprehensive study conducted thus far regarding the association between ABO blood groups and breast cancer risk with a total of 730877 individual (13029, breast cancer cases). The rigorous inclusion criteria employed, which emphasized case-control study designs, large sample sizes, the inclusion of diverse ethnic populations, and the absence of publication bias, lend credibility to the research and enhance the generalizability of the findings.

The results suggest a potential association between blood type A and an increased risk of breast cancer compared to blood type O. However, the association was not statistically significant for blood types B, AB, or Rh.

To better understand the underlying mechanisms and infer causal associations, future research will need to conduct longitudinal studies that follow participants over time and analyze cancer incidence rates across different blood groups. This would help elucidate the biological pathways behind the observed association between ABO blood groups and breast cancer risk, which, in turn, aids in various aspects, including diagnosis, treatment, prevention, and improving the quality of life for individuals affected by breast cancer.

Data statement

All the data presented can be reached by the corresponding author.

AUTHOR CONTRIBUTIONS

Conceptualization: RA, KZ; Methodology: RA, KZ, OS; Statistics: KZ; Project administration: RA, KZ; Study Screening, RA, MAQ, KZ; Data extraction: MAQ, OS, AYA; Supervision: MAQH; Visualization: KZ; Writing and drafting the manuscript: RA, KZ, MAQH, GZ, AMT, OS, MAQ, MA, MT, AYA; Quality Assessment: MAQ, KZ. All authors have reviewed and approved the final version of the manuscript.

CONFLICTS OF INTEREST

Authors have no conflicts of interest to declare.

ETHICAL STATEMENT

Ethical approval is not applicable for this study, as it is a systematic review and meta-analysis (SRMA).

FUNDING

No funding was used for this paper.

References

1. Sharma R. Breast cancer incidence, mortality and mortality-to-incidence ratio (MIR) are associated with human development, 1990-2016: evidence from Global Burden of Disease Study 2016. Breast Cancer. 2019; 26:428–45. https://doi.org/10.1007/s12282-018-00941-4. [PubMed].

2. Fitzmaurice C, Allen C, Barber RM, Barregard L, Bhutta ZA, Brenner H, Dicker DJ, Chimed-Orchir O, Dandona R, Dandona L, Fleming T, Forouzanfar MH, Hancock J, et al, and Global Burden of Disease Cancer Collaboration. Global, Regional, and National Cancer Incidence, Mortality, Years of Life Lost, Years Lived With Disability, and Disability-Adjusted Life-years for 32 Cancer Groups, 1990 to 2015: A Systematic Analysis for the Global Burden of Disease Study. JAMA Oncol. 2017; 3:524–48. https://doi.org/10.1001/jamaoncol.2016.5688. [PubMed].

3. Łukasiewicz S, Czeczelewski M, Forma A, Baj J, Sitarz R, Stanisławek A. Breast Cancer-Epidemiology, Risk Factors, Classification, Prognostic Markers, and Current Treatment Strategies-An Updated Review. Cancers (Basel). 2021; 13:4287. https://doi.org/10.3390/cancers13174287. [PubMed].

4. Akammu A, Ajekighe A, Durusinmi-Etti F, Akinsete L, Emuveyan E, Abdul-Kaareem F, Ugwaudu C, Dawotola D. The Association Between Cancer of The Breast And The Abo And Rhesus D Antigen Phenotypes In Lagos, Nigeria; A Case-Control Study. Nigerian Journal of Clinical Practice. 2002; 5:81–86.

5. Yamamoto F, Cid E, Yamamoto M, Blancher A. ABO research in the modern era of genomics. Transfus Med Rev. 2012; 26:103–18. https://doi.org/10.1016/j.tmrv.2011.08.002. [PubMed].

6. Abegaz SB. Human ABO Blood Groups and Their Associations with Different Diseases. Biomed Res Int. 2021; 2021:6629060. https://doi.org/10.1155/2021/6629060. [PubMed].

7. Skoko M, Mihić-Lasan I, Culej J, Vučemilo T, Šturm D. Association between AB0 blood group, rh factor and breast cancer in patients treated at the University Hospital for Tumors, Zagreb, Croatia. Libri Oncologici: Croatian Journal of Oncology. 2011; 39:15–19.

8. Iodice S, Maisonneuve P, Botteri E, Sandri MT, Lowenfels AB. ABO blood group and cancer. Eur J Cancer. 2010; 46:3345–50. https://doi.org/10.1016/j.ejca.2010.08.009. [PubMed].

9. Wolpin BM, Chan AT, Hartge P, Chanock SJ, Kraft P, Hunter DJ, Giovannucci EL, Fuchs CS. ABO blood group and the risk of pancreatic cancer. J Natl Cancer Inst. 2009; 101:424–31. https://doi.org/10.1093/jnci/djp020. [PubMed].

10. Wolpin BM, Kraft P, Gross M, Helzlsouer K, Bueno-de-Mesquita HB, Steplowski E, Stolzenberg-Solomon RZ, Arslan AA, Jacobs EJ, Lacroix A, Petersen G, Zheng W, Albanes D, et al. Pancreatic cancer risk and ABO blood group alleles: results from the pancreatic cancer cohort consortium. Cancer Res. 2010; 70:1015–23. https://doi.org/10.1158/0008-5472.CAN-09-2993. [PubMed].

11. Le Pendu J, Marionneau S, Cailleau-Thomas A, Rocher J, Le Moullac-Vaidye B, Clément M. ABH and Lewis histo-blood group antigens in cancer. APMIS. 2001; 109:9–31. https://doi.org/10.1111/j.1600-0463.2001.tb00011.x. [PubMed].

12. Weisbrod AB, Nilubol N, Weinstein LS, Simonds WF, Libutti SK, Jensen RT, Marx SJ, Kebebew E. Association of type-O blood with neuroendocrine tumors in multiple endocrine neoplasia type 1. J Clin Endocrinol Metab. 2013; 98:E109–14. https://doi.org/10.1210/jc.2012-2781. [PubMed].

13. Ghazarian H, Idoni B, Oppenheimer SB. A glycobiology review: carbohydrates, lectins and implications in cancer therapeutics. Acta Histochem. 2011; 113:236–47. https://doi.org/10.1016/j.acthis.2010.02.004. [PubMed].

14. Itzkowitz SH, Yuan M, Ferrell LD, Ratcliffe RM, Chung YS, Satake K, Umeyama K, Jones RT, Kim YS. Cancer-associated alterations of blood group antigen expression in the human pancreas. J Natl Cancer Inst. 1987; 79:425–34. [PubMed].

15. Pour PM, Tempero MM, Takasaki H, Uchida E, Takiyama Y, Burnett DA, Steplewski Z. Expression of blood group-related antigens ABH, Lewis A, Lewis B, Lewis X, Lewis Y, and CA 19-9 in pancreatic cancer cells in comparison with the patient’s blood group type. Cancer Res. 1988; 48:5422–26. [PubMed].

16. Kayser K, Bovin NV, Korchagina EY, Zeilinger C, Zeng FY, Gabius HJ. Correlation of expression of binding sites for synthetic blood group A-, B-and H-trisaccharides and for sarcolectin with survival of patients with bronchial carcinoma. Eur J Cancer. 1994; 30A:653–57. https://doi.org/10.1016/0959-8049(94)90538-x. [PubMed].

17. Matsumoto H, Muramatsu H, Shimotakahara T, Yanagi M, Nishijima H, Mitani N, Baba K, Muramatsu T, Shimazu H. Correlation of expression of ABH blood group carbohydrate antigens with metastatic potential in human lung carcinomas. Cancer. 1993; 72:75–81. https://doi.org/10.1002/1097-0142(19930701)72:1<75::aid-cncr2820720116>3.0.co;2-z. [PubMed].

18. Nakagoe T, Nanashima A, Sawai T, Tuji T, Ohbatake M, Jibiki M, Yamaguchi H, Yasutake T, Ayabe H, Matuo T, Tagawa Y. Expression of blood group antigens A, B and H in carcinoma tissue correlates with a poor prognosis for colorectal cancer patients. J Cancer Res Clin Oncol. 2000; 126:375–82. https://doi.org/10.1007/pl00008485. [PubMed].

19. Daniels G. Functional aspects of red cell antigens. Blood Rev. 1999; 13:14–35. https://doi.org/10.1016/s0268-960x(99)90020-6. [PubMed].

20. Garratty G. Blood groups and disease: a historical perspective. Transfus Med Rev. 2000; 14:291–301. https://doi.org/10.1053/tmrv.2000.16228. [PubMed].

21. Ewald DR, Sumner SC. Blood type biochemistry and human disease. Wiley Interdiscip Rev Syst Biol Med. 2016; 8:517–35. https://doi.org/10.1002/wsbm.1355. [PubMed].

22. Dede DS, Aksoy S, Dizdar O, Cerci P, Gullu I, Ozisik Y, Altundag K. Blood ABO groups and risk of breast cancer. Med Oncol. 2010; 27:1433. https://doi.org/10.1007/s12032-009-9346-1. [PubMed].

23. Miao SY, Zhou W, Chen L, Wang S, Liu XA. Influence of ABO blood group and Rhesus factor on breast cancer risk: a meta-analysis of 9665 breast cancer patients and 244,768 controls. Asia Pac J Clin Oncol. 2014; 10:101–108. https://doi.org/10.1111/ajco.12083. [PubMed].

24. Abbasi S, Azimi C, Othman F, Einollahi N, Dashti N, Nabatchian F, Iamail P. Risk factors for breast cancer in Iranian women: A case control study. Int J Cancer Res. 2009; 5:1–11.

25. Abobaker S, Kamil M. Incidence of breast cancer in a primary hospital in relation to AbO blood groups system. Journal of Medical and Bioengineering. 2014; 3.

26. AL-Ganimi AKA. The Relation between the Blood Groups, Rhesus Factor, and Breast Cancer in the Holy Karbala Governorate. University of Thi-Qar Journal of Science. 2020; 7:31–33. https://doi.org/10.32792/utq/utjsci/v7i2.707.

27. Aly R, Yousef A, Elbably O. Association of ABO blood group and risk of breast cancer. J Blood Disorders Transf. 2014; 5:1000241.

28. Anderson DE, Haas C. Blood type A and familial breast cancer. Cancer. 1984; 54:1845–49. https://doi.org/10.1002/1097-0142(19841101)54:9<1845::aid-cncr2820540913>3.0.co;2-5. [PubMed].

29. Aird I, Bentall HH, Roberts JA. A relationship between cancer of stomach and the ABO blood groups. Br Med J. 1953; 1:799–801. https://doi.org/10.1136/bmj.1.4814.799. [PubMed].

30. Bhartiya S, Dixit R, Vasanthan V, Basu S, Singh K, Shukla V. Association of ABO Blood Group in Breast Cancer. International Journal of Biological and Medical Reserach. 2015; 6:5114–17.

31. Bothou A, Tsikouras P, Zervoudis S, Tsatsaris G, Anastasopoulos G, Iatrakis G, Lykeridou K, Deuteraiou D, Anthoulaki X, Chalkidou A, Galazios G. Blood groups type linked to breast cancer in a Greek cohort of women - a case control study. J BUON. 2019; 24:1884–88. [PubMed].

32. Costantini M, Fassio T, Canobbio L, Landucci M, Resasco M, Boccardo F. Role of blood groups as prognostic factors in primary breast cancer. Oncology. 1990; 47:308–12. https://doi.org/10.1159/000226839. [PubMed].

33. Dixit R, Bhartiya S, Singh K, Shukla V. Epidemiological study of breast cancer patients and their association with abo blood group. WCRJ. 2020; 7:e1615. https://doi.org/10.32113/wcrj_20207_1615.

34. Dogan I, Ayhan M, Gurbuz M, Kucukarda A, Aydin E, Urun Y, Cicin I, Saip P. The frequency and prognostic significance of ABO/Rh blood groups in male breast cancer patients: A multicenter study. Medicine (Baltimore). 2022; 101:e30147. https://doi.org/10.1097/MD.0000000000030147. [PubMed].

35. Flavarjani AH, Hedayatpour B, Bashardoost N, Nourian SM. Study of the association between blood types and breast cancer among Isfahanian women with breast cancer. Adv Biomed Res. 2014; 3:43. https://doi.org/10.4103/2277-9175.125749. [PubMed].

36. Kumar R, Trivedi V, Kumari A, Rani R, Chauhan R, Singh M, Kumar DA. Incidence of Breast Cancer and ABO Blood group: A Hospital Based Study. 2018.

37. Between ABO blood group and breast cancer at AL-Nassyria city/Iraq. University of Thi-Qar Journal of Science. 2008; 1:26–29.

38. Mjali A, Sheikha A, Amin H, Al-Anssari M, Aljawdah Z, Abbas S. Association between Female Breast Cancer and Different ABO Blood Groups & Rh Factor in the Sulaymaniyah Province of Iraqi Kurdistan. Indian Journal of Public Health Research & Development. 2019; 10:454. https://doi.org/10.5958/0976-5506.2019.01315.9.

39. Mohammed I, Salih K. The Association and Relation of ABO Blood Group and Secretor status with the Breast Cancer. 2016; 10:76–79.

40. Newell GR, Gordon JE, Monlezun AP, Horwitz JS. ABO blood groups and cancer. J Natl Cancer Inst. 1974; 52:1425–30. https://doi.org/10.1093/jnci/52.5.1425. [PubMed].

41. Ronco AL, Stoll M, De Stéfani E, Maisonneuve JE, Mendoza BA, Deneo-Pellegrini H. Rh factor, family history and risk of breast cancer: a case-control study in Uruguay. Cancer Detect Prev. 2009; 32:277–85. https://doi.org/10.1016/j.cdp.2008.12.005. [PubMed].

42. Stamatakos M, Kontzoglou K, Safioleas P, Safioleas C, Manti C, Safioleas M. Breast cancer incidence in Greek women in relation to ABO blood groups and Rh factor. Int Semin Surg Oncol. 2009; 6:14. https://doi.org/10.1186/1477-7800-6-14. [PubMed].

43. Zaki SM, Hasan FF, Saydoka KM, Amin NA. The association and relation of ABO blood group with the breast cancer in Kirkuk governorate. DJM. 2013; 5:108–13.

44. Zouine S, Marnissi F, Otmani N, Bennani Othmani M, El Wafi M, Kojok K, Zaid Y, Tahiri Jouti N, Habti N. ABO blood groups in relation to breast carcinoma incidence and associated prognostic factors in Moroccan women. Med Oncol. 2016; 33:67. https://doi.org/10.1007/s12032-016-0784-2. [PubMed].

45. Goldenberg IS, Hayes MA. Breast carcinoma and ABO blood groups. Cancer. 1958; 11:973–74. https://doi.org/10.1002/1097-0142(195809/10)11:5<973::aid-cncr2820110517>3.0.co;2-w. [PubMed].

46. Sujatha B, Jenilin SG. Association of ABO blood group and risk of female breast cancer-A retrospective study. International journal of medical research & health sciences. 2016; 5:124–47.

47. Joudaki N, Khodadadi A, Talaiezadeh A, Jodat H, Jodat J, Asadirad A. Study of the Relationship between ABO Blood Group Types and Breast Cancer and Cervix Cancer in Khuzestan Province, Iran. Int J Hematol Oncol Stem Cell Res. 2023; 17:65–74. https://doi.org/10.18502/ijhoscr.v17i2.12642. [PubMed].

48. Alhusseini L, Almayahi B. Study of blood groups antigens frequency for ductal breast carcinoma patients in some Iraqi women. Diversity and Equality in Health and Care. 2016; 13:172–76.

49. Urun Y, Utkan G, Altundag K, Arslan O, Onur H, Arslan UY, Kocer M, Dogan I, Senler FC, Yalcin B, Demirkazik A, Akbulut H, Icli F. ABO and Rh blood groups frequency in women with HER2 positive breast cancer. J BUON. 2012; 17:457–60. [PubMed].

50. Ray AK. Blood Groups and Cancer in India. Curr Anthropol. 1980; 21:794–45. https://doi.org/10.1086/202572.

51. Hartmann O, Stavem P. ABO blood-groups and cancer. Lancet. 1964; 1:1305–6. https://doi.org/10.1016/s0140-6736(64)91696-4.

52. Reid ME, Mohandas N. Red blood cell blood group antigens: structure and function. Semin Hematol. 2004; 41:93–117. https://doi.org/10.1053/j.seminhematol.2004.01.001. [PubMed].

53. Hakomori S. Antigen structure and genetic basis of histo-blood groups A, B and O: their changes associated with human cancer. Biochim Biophys Acta. 1999; 1473:247–66. https://doi.org/10.1016/s0304-4165(99)00183-x. [PubMed].

54. Barbalic M, Dupuis J, Dehghan A, Bis JC, Hoogeveen RC, Schnabel RB, Nambi V, Bretler M, Smith NL, Peters A, Lu C, Tracy RP, Aleksic N, et al. Large-scale genomic studies reveal central role of ABO in sP-selectin and sICAM-1 levels. Hum Mol Genet. 2010; 19:1863–72. https://doi.org/10.1093/hmg/ddq061. [PubMed].

55. Paterson AD, Lopes-Virella MF, Waggott D, Boright AP, Hosseini SM, Carter RE, Shen E, Mirea L, Bharaj B, Sun L, Bull SB, and Diabetes Control and Complications Trial/Epidemiology of Diabetes Interventions and Complications Research Group. Genome-wide association identifies the ABO blood group as a major locus associated with serum levels of soluble E-selectin. Arterioscler Thromb Vasc Biol. 2009; 29:1958–67. https://doi.org/10.1161/ATVBAHA.109.192971. [PubMed].

56. Hems G. Epidemiological characteristics of breast cancer in middle and late age. Br J Cancer. 1970; 24:226–34. https://doi.org/10.1038/bjc.1970.26. [PubMed].

57. Vioque J, Walker AM. Cáncer de páncreas y tipología sanguínea ABO: un estudio de casos y controles [Pancreatic cancer and ABO blood types: a study of cases and controls]. Med Clin (Barc). 1991; 96:761–64. [PubMed].

58. Henderson J, Seagroatt V, Goldacre M. Ovarian cancer and ABO blood groups. J Epidemiol Community Health. 1993; 47:287–89. https://doi.org/10.1136/jech.47.4.287. [PubMed].

59. Meo SA, Suraya F, Jamil B, Rouq FA, Meo AS, Sattar K, Ansari MJ, Alasiri SA. Association of ABO and Rh blood groups with breast cancer. Saudi J Biol Sci. 2017; 24:1609–13. https://doi.org/10.1016/j.sjbs.2017.01.058. [PubMed].

60. Guleria K, Singh HP, Kaur H, Sambyal V. ABO blood groups in gastrointestinal tract (GIT) and breast carcinoma patients. The Anthropologist. 2005; 7:189–92.

61. Mourali N, Muenz LR, Tabbane F, Belhassen S, Bahi J, Levine PH. Epidemiologic features of rapidly progressing breast cancer in Tunisia. Cancer. 1980; 46:2741–6. https://doi.org/10.1002/1097-0142(19801215)46:12<2741::aid-cncr2820461234>3.0.co;2-w. [PubMed].

62. Tryggvadottir L, Tulinius H, Robertson JM. Familial and sporadic breast cancer cases in Iceland: a comparison related to ABO blood groups and risk of bilateral breast cancer. Int J Cancer. 1988; 42:499–501. https://doi.org/10.1002/ijc.2910420405. [PubMed].

63. Rosanò L, Bagnato A. Endothelin therapeutics in cancer: Where are we? Am J Physiol Regul Integr Comp Physiol. 2016; 310:R469–75. https://doi.org/10.1152/ajpregu.00532.2015. [PubMed].

64. Matsuoka R, Sawamura T, Yamada K, Yoshida M, Furutani Y, Ikura T, Shiraki T, Hoshikawa H, Shimada K, Tanzawa K, Masaki T. Human endothelin converting enzyme gene (ECE1) mapped to chromosomal region 1p36.1. Cytogenet Cell Genet. 1996; 72:322–24. https://doi.org/10.1159/000134214. [PubMed].

65. Migdady Y, Pang Y, Kalsi SS, Childs R, Arai S. Post-hematopoietic stem cell transplantation immune-mediated anemia: a literature review and novel therapeutics. Blood Adv. 2022; 6:2707–21. https://doi.org/10.1182/bloodadvances.2021006279. [PubMed].

66. Zouine S, Marnissi F, Otmani N, Bennani Othmani M, Zaid N, Kojok K, Zaid Y, Tahiri Jouti N, Habti N. Expression of Histo-blood Group Antigens in Tumor and Adjacent Normal Breast Tissues as Prognostic Markers of Breast Carcinoma. J Breast Cancer. 2020; 23:69–79. https://doi.org/10.4048/jbc.2020.23.e13. [PubMed].

67. Sterne JA, Hernán MA, Reeves BC, Savović J, Berkman ND, Viswanathan M, Henry D, Altman DG, Ansari MT, Boutron I, Carpenter JR, Chan AW, Churchill R, et al. ROBINS-I: a tool for assessing risk of bias in non-randomised studies of interventions. BMJ. 2016; 355:i4919. https://doi.org/10.1136/bmj.i4919. [PubMed].

68. Egger M, Davey Smith G, Schneider M, Minder C. Bias in meta-analysis detected by a simple, graphical test. BMJ. 1997; 315:629–34. https://doi.org/10.1136/bmj.315.7109.629. [PubMed].