INTRODUCTION
Lung cancer, which can be broadly divided into small cell lung cancer (SCLC) and non-small cell lung cancer (NSCLC), is the most prevalent cancer worldwide [1]. Certain prognostic factors including advanced stage disease at diagnosis, poorly differentiated, abnormal activation of oncogene are predictive of poor survival in patients with NSCLC. Squamous cell carcinoma (SCC) accounts for approximately 30% of all cases of lung cancer [2]. The number of treatment options for lung adenocarcinoma (ADC) has increased in recent decades following the identification of sensitizing epidermal growth factor receptor (EGFR) mutations and anaplastic lymphoma kinase (ALK) rearrangements as molecular targets for effective agents [3]. However, most of the molecular target therapies used for the treatment of ADC are not indicated for SCC because the latter disease lacks specific genetic alterations. Blocking immunecheckpoints with monoclonal antibodies has emerged as a new therapeutic strategy for treating SCC and has yielded a favourable clinical outcome in affected patients [4]. Such results highlight the importance of immune checkpoints in SCC tumourigenesis.
The programmed death 1 (PD-1) pathway is a major immune checkpoint. The binding of PD-1 ligand (PD-L1) to PD-1 induces activated T-cell apoptosis or exhaustion, and agents that block this inhibitory signal have been shown to enhance T-cells activity [5]. Previous studies have shown that increased PD-L1 expression occurs in many solid tumours, including breast cancer [6], NSCLC [7], hepatocellular carcinoma[8], gastric cancer[9], colorectal cancer[10], renal cell carcinoma[11], and testicular cancer[12], as well as papillary thyroid cancer[13]. Several meta-analyses have demonstrated that high PD-L1 expression levels are correlated with adverse clinical and pathologic features, as well as an increased risk of death, in many cancer types [14–17]. However, the data regarding the prevalence and prognostic role of PD-L1 expression in SCC remain controversial. A meta-analyse demonstrated that NSCLC patients with high PD-L1 expression had a poor OS [18]. However, another meta-analysis did not indicate PD-L1 as a prognostic predictor for NSCLC [19].
18F-Fluorodeoxyglucose positron emission tomography (18FDG-PET) is an important noninvasive tool used for the diagnosing NSCLC and performing TNM staging in patients with the disease. The maximum standardized uptake value (SUVmax) on FDG-PET is widely used in clinical practice because of its simplicity [20]. A high SUVmax has been reported to be an important prognostic factor in patients with NSCLC [21]. Several studies have demonstrated the existence of a correlation between the uptake of FDG and the levels of biomarkers such as EGFR mutations [22], VEGF[23], Ki-67 [24] and COX2 [25]. However, the correlation between FDG uptake and PD-L1 expression has not been assessed.
Therefore, we conducted this study to investigate the correlation between PD-L1 expression and the SUVmax on FDG-PET and to examine the prognostic significance of PD-L1 expression and SUVmax in surgical SCC.
RESULTS
Patient demographics
The clinical characteristics of the 84 patients enrolled in the study are presented in Table 1. The median age of the study population at the time of diagnosis was 63 years (range, 34–85 years), and the majority of patients (77.4%) were male. Sixty-one (72.6%) of patients were smokers, and 75% of the cohort comprised patients with stage I and II disease. After curative resection, 54 patients received platinum-based adjuvant chemotherapy, and 77.8% of patients were treated with up to 4 cycles of chemotherapy. A total of 12 patients (14.3%) received adjuvant chemotherapy followed by radiotherapy. The median follow-up time of was 27.8 months (range, 4.3-78 months). The median SUVmax was 11.2 (range, 3.1-30.2). Patients were divided into high and low SUVmax groups according to the median SUVmax. Representative examples of patients with surgical pulmonary SCC who had a high or low SUVmax are shown in Figure 1. The demographic and clinical characteristics of the study population are shown in Table 1.
Table 1: Patient characteristics
Characteristic |
No. of patients |
|---|---|
Age |
|
≤65 |
56 |
>65 |
28 |
Gender |
|
Male |
65 |
Female |
19 |
Smoking status |
|
Smoker |
61 |
Non-smoker |
23 |
ECOG |
|
0 |
30 |
1-2 |
54 |
Differentiation |
|
Well |
27 |
Moderate/poor |
57 |
Tumour size |
|
≤3cm |
47 |
>3cm |
37 |
Lymph node metastasis |
|
Negative |
45 |
Positive |
39 |
Pathologic stage |
|
IA |
16 |
IB |
14 |
IIA |
13 |
IIB |
20 |
IIIA |
18 |
IIIB |
3 |
Adjuvant therapy |
|
Adjuvant chemotherapy |
54 |
Adjuvant chemoradiotherapy |
12 |
Surgical procedure |
|
Lobectomy |
67 |
Wedge resection |
4 |
Sleeve lobectomy |
9 |
Pneumonectomy |
4 |
Tumor location |
|
Right upper lobe |
28 |
Right middle lobe |
9 |
Right lower lobe |
13 |
Left upper lobe |
23 |
Left lower lobe |
11 |

Figure 1: IHC staining for PD-L1 in pulmonary SCC patients. (A) Positive PD-L1 expression. (B) Negative PD-L1 expression. (C)18F-FDG PET/CT in patients with pulmonary SCC. 71-year-old man with positive PD-L1 expression and a high SUVmax (13.3). (D) 57-year-old man with positive PD-L1 expression and a low SUVmax (6.9). (E) 65-year-old man with negative PD-L1 expression and a high SUVmax(19.1). (F) 59-year-old man with negative PD-L1 expression and a low SUVmax(6.8).
PD-L1 protein expression
Positive PD-L1 immunostaining was observed in the membranes and/or cytoplasms of tumour cells. Representative examples of PD-L1 staining patterns are shown in Figure 1. Positive PD-L1 protein expression was noted in 49 of the 84 patients with SCC enrolled in this study (58.3%).
Correlations between PD-L1 expression and the SUVmax and clinicopathological characteristics
The correlations between PD-L1 expression and the SUVmax and clinicopathological characteristics are presented in Table 2. PD-L1 positivity was noted more frequent in patients with moderately or poorly differentiated disease than in patients with well-differentiated disease (P=0.006). However, there were no significant correlations between PD-L1 expression levels and age, gender, smoking history, ECOG, tumour size, lymph node metastasis, TNM stage, serum CEA levels, serum SCC levels or serum CYFRA 21-1 levels. A high SUVmax was significantly correlated with histological differentiation (P=0.037) and lymph node metastasis (P=0.025). No correlations were noted between a high SUVmax and age, gender, smoking history, ECOG, tumour size, TNM stage, serum CEA levels, serum SCC levels or serum CYFRA 21-1 levels. Spearman’s analysis showed that PD-L1 expression was associated with a higher SUVmax (Table 3) (rho = 0.23; P = 0.035).
Table 2: Associations between clinicopathologic parameters and PD-L1 expression and the SUVmax
Clinicopathologic characteristics |
All patients n(%) |
PD-L1 |
P-value |
SUVmax |
P-value |
||
|---|---|---|---|---|---|---|---|
Negative |
Positive |
Low |
High |
||||
Age |
|
|
|
0.118 |
|
|
0.164 |
≤65 |
56 |
20 |
36 |
|
23 |
33 |
|
> 65 |
28 |
15 |
13 |
|
16 |
12 |
|
Gender |
|
|
|
0.103 |
|
|
0.538 |
Male |
65 |
24 |
41 |
|
29 |
36 |
|
Female |
19 |
11 |
8 |
|
10 |
9 |
|
Smoking history |
|
|
|
0.23 |
|
|
0.103 |
Smoker |
61 |
23 |
38 |
|
25 |
36 |
|
Non-smoker |
23 |
12 |
11 |
|
14 |
9 |
|
ECOG |
|
|
|
0.248 |
|
|
0.344 |
0 |
30 |
15 |
15 |
|
16 |
14 |
|
1-2 |
54 |
20 |
34 |
|
23 |
31 |
|
Differentiation |
|
|
|
0.006 |
|
|
0.037 |
Well |
27 |
17 |
10 |
|
17 |
10 |
|
Moderate/poor |
57 |
18 |
39 |
|
22 |
35 |
|
Tumor size |
|
|
|
0.281 |
|
|
0.161 |
≤3 cm |
47 |
22 |
25 |
|
25 |
22 |
|
> 3 cm |
37 |
13 |
24 |
|
14 |
23 |
|
Lymph node metastasis |
|
|
|
0.149 |
|
|
0.025 |
Negative |
45 |
22 |
23 |
|
26 |
19 |
|
Positive |
39 |
13 |
26 |
|
13 |
26 |
|
TNM stage |
|
|
|
0.248 |
|
|
0.161 |
I |
30 |
15 |
15 |
|
17 |
13 |
|
II-III |
54 |
20 |
34 |
|
22 |
32 |
|
Serum CEA levels |
|
|
|
0.488 |
|
|
0.509 |
Negative |
64 |
28 |
36 |
|
31 |
33 |
|
Positive |
20 |
7 |
13 |
|
8 |
12 |
|
Serum SCC levels |
|
|
|
0.151 |
|
|
0.257 |
Negative |
55 |
26 |
29 |
|
28 |
27 |
|
Positive |
29 |
9 |
20 |
|
11 |
18 |
|
Serum CYFRA 21-1 levels |
|
|
|
0.18 |
|
|
0.101 |
Negative |
48 |
23 |
25 |
|
26 |
22 |
|
Positive |
36 |
12 |
24 |
|
13 |
23 |
|
Serum marker standard cut-off, CEA=5.0ng/ml; CYFRA 21-1=3.3 ng/ml; SCC=15.2 ng/ml.
Table 3: Correlation between PD-L1 expression and the SUVmax
PD-L1 |
n |
SUVmax |
rho |
P |
|
|---|---|---|---|---|---|
High |
Low |
||||
Positive |
49 |
31 |
18 |
|
|
Negative |
45 |
24 |
21 |
0.23 |
0.035 |
Prognostic value of PD-L1 expression and the SUV max
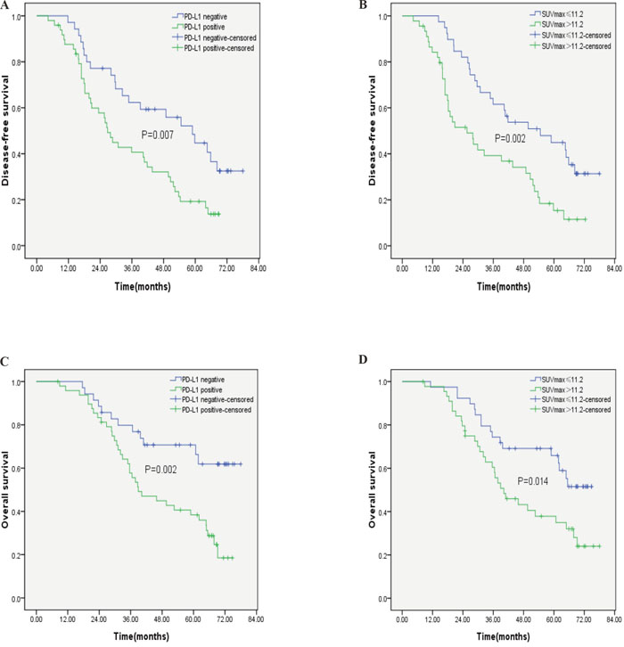
PD-L1-positive patients displayed significantly shorter DFS (P=0.007) and OS (P=0.002) than PD-L1-negative patients. Furthermore, patients with a high SUVmax displayed shorter DFS (P=0.002) and OS (P=0.014) than patients with a low SUVmax.(Figure 2). The univariate Cox regression model showed that tumour differentiation, lymph node metastasis, TNM stage, PD-L1 expression and the SUVmax were correlated with OS, whereas age, gender, smoking history, tumour size, serum CEA levels, serum SCC levels, and serum CYFRA21-1 levels were not significantly correlated with OS. Additional multivariate analyses demonstrated that tumour differentiation, lymph node metastasis, TNM stage, PD-L1 expression and the SUVmax were significant independent predictors of OS (Table 4).

Figure 2: Kaplan-Meier survival curves for patients with pulmonary SCC. (A) DFS curves for patients with negative PD-L1 expression and patients with positive PD-L1 expression. (B) DFS curves for patients with a low SUVmax and patients with a high SUVmax. (C) OS curves for patients with negative PD-L1 expression and patients with positive PD-L1 expression. (D) OS curves for patients with a low SUVmax and patients with a high SUVmax.
Table 4: Univariate and multivariate analyses of prognostic factors for overall survival
Factor |
Univariate analysis |
Multivariate analysis |
||
|---|---|---|---|---|
HR (95%CI) |
P-value |
HR (95%CI) |
P-value |
|
Age(>65 vs ≤65) |
1.212 (0.668–2.199) |
0.527 |
|
|
Gender (male vs female) |
1.275 (0.633–2.565) |
0.496 |
|
|
Smoking history (yes vs no) |
1.149 (0.606-2.179) |
0.670 |
|
|
Tumour differentiation (poor vs moderate/good) * |
3.545 (1.687-7.451) |
0.001 |
4.909(2.149-11.218) |
<0.001 |
Tumor size(>3cm vs ≤3cm) |
1.621 (0.913–2.881) |
0.099 |
|
|
Lymph node metastasis (yes vs no) * |
2.366 (1.323-4.230) |
0.004 |
2.504(1.343-4.671) |
0.004 |
TNM stage (III -II vs I) * |
3.427 (1.727-6.798) |
<0.001 |
3.17(1.550-6.483) |
0.002 |
Serum CEA levels(>5 ng/ml vs ≤5 ng/ml) |
1.284 (0.653–2.525) |
0.468 |
|
|
Serum SCC levels(>15.2 ng/ml vs ≤15.2 ng/ml) |
1.678 (0.943-2.987) |
0.079 |
|
|
Serum CYFRA 21-1 levels(>3.3 ng/ml vs ≤3.3 ng/ml) |
1.479 (0.834-2.625) |
0.181 |
|
|
PD-L1 (positive vs negative) * |
2.667 (1.378–5.164) |
0.004 |
2.489(1.271-4.876) |
0.008 |
SUVmax (high vs low) * |
2.085 (1.148-3.787) |
0.016 |
2.007(1.086-3.709) |
0.026 |
*P<0.05.
DISCUSSION
PD-L1 is a novel member of B7/CD28 superfamily and is more highly expressed in tumour tissues than in normal tissues [5]. In our previous study, we found that PD-L1 over expression was associated with significantly shorter OS in gastric cancer and breast cancer [26–27]. However, the clinical significance of PD-L1 expression in surgically resected SCC specimens has not been fully characterized. We therefore investigated PD-L1 expression and evaluated its prognostic significance in patients with SCC. In our study, positive PD-L1 staining was observed in 58.3% of patients. This rate of positive PD-L1 expression noted in our study was similar to that noted in a previous study on SCC, in which positive PD-L1 expression was detected in 56.2% of patients with SCC [28]. In addition, our results demonstrated that increased PD-L1 expression was significantly associated with poor survival in patients with SCC, a result consistent with those of a previous study [29]. These results support the idea that increased PD-L1 expression enables tumour cells to evade host immune surveillance and promotes disease progression [30]. In contrast, the results of another previous study showed that high PD-L1 expression levels were significantly associated with a favourable prognosis in SCC [28]. The study of Taso et al. [31] demonstrated that positive PD-L1 expression was not correlated with OS in resected NSCLC. Increased PD-L1 expression has been shown to be correlated with favourable and unfavourable prognoses in different studies. These findings may be attributable to the use of different thresholds to determine PD-L1 positivity, as well as heterogeneity with respect to baseline clinical and pathological features. Future studies aiming to determine the clinical applicability of PD-L1 must endeavor to develop a standardized protocol with which PD-L1 expression can be assessed.
The SUVmax is the 18F-FDG PET/CT parameter most commonly used for making diagnoses, performing TNM staging and monitoring for therapeutic effects because of its high reproducibility and availability. In addition, various studies have described the prognostic significance of SUVmax in both early and advanced NSCLC [32–33]. A systematic review and meta-analysis showed that a high SUVmax is related to inferior overall survival in patients with NSCLC [34]. However, the prognostic significance of the SUVmax in SCC of the lung remains controversial. The goal of this study was to evaluate the significance of the SUVmax as a prognostic factor in SCC. We found that a high primary tumour SUVmax is a poor prognostic factor in patients with SCC. In contrast, Tsutani and colleagues showed that a high primary tumour SUVmax was a powerful prognostic determinant in patients with ADC, but not in patients with SCC of the lung [35]. The use of different SUVmax cut-offs, as well as differences in sample sizes, may account for the differences in outcomes between our study and that mentioned above. We also investigated the biological characteristics of tumours with high and low FDG uptake. Our study showed that the SUVmax was strongly correlated with lymph node metastasis and tumour differentiation in patients with SCC.
A novel therapy based on PD-1/PD-L1 inhibitors known to have impressive antitumour activity in patients with NSCLC recently became the standard therapy for NSCLC [36]. In this age of personalized medicine, clinicians are faced with the following important question: how can physicians identify patients who are more likely to benefit from anti-PD-1/PD-L1 treatment? The findings of recent studies indicate that increased PD-L1 expression has emerged as a predictive biomarker useful for stratifying patients with NSCLC who are receiving PD-1/PD-L1 therapeutic agents [37]. In the present study, we investigated the relationship between PD-L1 expression and clinicopathological factors. Our results showed that PD-L1 positivity was more frequent in patients with moderately or poorly differentiated disease than in patients with well-differentiated disease, suggesting that PD-L1 expression can serve as a marker of disease progression. These patients may benefit more from PD-1/PD-L1 immune checkpoints inhibitors than other patients. In addition, several studies have described the feasibility of performing immuno-PET imaging with radiolabelled PD-1 and PD-L1 antibodies in murine models [38–39]. The present study investigated whether the SUVmax can predict tumour tissue PD-L1 expression levels in patients with SCC. We observed an association between SUVmax and PD-L1 expression. Our findings suggest that FDG-PET may serve as a noninvasive tool for assessing PD-L1 expression and can therefore predict the benefits that may be derived from PD-1/PD-L1 pathway-targeted immunotherapy.
The present study had several limitations. First, the samples and data described herein were collected retrospectively, which may have led to bias resulting from variations among the treatment protocols used to manage the patients in question. Second, the limited sample size of the study cohort may have reduced the statistical power of the data analysis. Third, specific cut-off values for PD-L1 positivity have not been clearly defined, and the reproducibility of results associated with specific PD-L1 cut-off values has not been formally assessed. Fourth, different studies used different antibodies, and the choice of antibody may influenced the results of studies. In the present study, we used the clone 28-8 antibody, which has been used in clinical trials regarding nivolumab. Different anti-PD-L1 antibodies may need to be validated in the same SCC sample in future studies. Fifth, the patients included in our study had stage I-III disease; therefore, it is unclear whether our results are applicable to patients with stage IV disease. A prospective study with a larger sample size is warranted to validate our findings.
In conclusion, our results suggested that high PD-L1 expression levels and a high SUVmax were associated with a poor prognosis in surgical pulmonary SCC. The existence of a significant correlation between the SUVmax and PD-L1 expression levels serves as justification for exploring the usefulness of the SUVmax as a predictor of PD-1/PD-L1 inhibitor activity.
MATERIALS AND METHODS
Patients and samples
Ninety-five patients with known diagnoses of SCC underwent whole-body 18F-FDG PET/CT for initial disease staging before undergoing surgical resection with systematic lymph node dissection at Harbin Medical University Cancer Hospital from January 2010 to December 2013. Archival materials including patient demographics, clinical data and follow-up information were available for all patients. Data on patient demographics, clinicopathological features and overall survival were extracted from medical records. Five patients who received preoperative chemotherapy or radiotherapy were excluded from the study, as were six patients who were examined at our PET/CT center more than 4 weeks before undergoing surgical treatment. Thus, 84 patients were included in the study. Tumour stage was determined according to the seventh edition of the AJCC system, which was published in 2009. The study was approved by the Ethics Committee of Harbin Medical University Cancer Hospital.
PET/CT protocol and imaging analysis
The FDG-PET protocol used in this study was described in our previous report [40]. In this study, the output results, including the SUVmax, were assessed by two imaging physicians with experience with PET/CT imaging and familiarity with PET-VCAR software and our PACS system. All images were reviewed to localize the target lesions identified by the above two imaging physicians, and any discrepancies regarding the images were resolved by discussion and the achievement of consensus.
Immunohistochemistry (IHC)
IHC was performed using standard indirect immunoperoxidase procedures. Briefly, 4μm-thick sections from a paraffin-embedded tissue block were de-waxed with xylene and rehydrated with a graded ethanol series and distilled water. Endogenous peroxidase activity was subsequently blocked using 3.0% hydrogen peroxide for 10 minutes, after which the tissue sections were incubated with the indicated primary antibodies (anti-PD-L1 antibody, clone 28-8, Abcam, Cambridge, UK) for 60 minutes at room temperature. For antigen visualization, we immersed the sectionsin 3, 3-diaminobenzidine solution and counterstained them with hematoxylin.
The PD-L1 immunostaining results were classified into two groups based on staining intensity and tumour cell positivity. Staining intensity was scored as follows: 0, negative staining; 1, weak staining; 2, moderate staining; and 3, strong staining. All cases in which more than 5% of tumour cells displayed a staining intensity ≥2 were considered positive. Cases with staining intensity <2 or less than 5% of tumour cells were considered negative. The 5% threshold used herein was chosen based on the results of a previous clinical trial [41–42].
Statistical analysis
The correlations between PD-L1 expression and clinicopathological characteristics were evaluated using chi-square tests or Fisher’s exact test. Spearman’ s correlation coefficient (rho) was used for rank correlation. Disease-free survival and overall survival were calculated using by the Kaplan–Meier method, and comparisons were performed using the log-rank test. Univariate and multivariate regression was performed using the Cox proportional hazards model. Two-sided p values <0.05 were considered statistically significant. All statistical analyses were performed using SPSS software (version 17.0; SPSS, Chicago, Illinois, USA).
ACKNOWLEDGMENTS
This study was supported by grants from the National Natural Science Foundation of China (81372907), Health and Family Planning commission of Heilongjiang Province (2016-102 and 2013-068), innovation fund of Harbin Medical University (YJSCX-50HYD).
CONFLICTS OF INTEREST
The authors have no potential conflicts of interest to disclose.
REFERENCES
1. Siegel RL, Miller KD, Jemal A. Cancer statistics, 2016. CA Cancer J Clin. 2016; 66:7-30.
2. Meza R, Meernik C, Jeon J, Cote ML. Lung cancer incidence trends by gender, race and histology in the United States, 1973-2010. PloS One. 2015; 10:e0121323.
3. Saito M, Shiraishi K, Kunitoh H, Takenoshita S, Yokota J, Kohno T. Gene aberrations for precision medicine against lung adenocarcinoma. Cancer Sci. 2016; 107:713-720.
4. Brahmer J, Reckamp KL, Baas P, Crino L, Eberhardt WE, Poddubskaya E, Antonia S, Pluzanski A, Vokes EE, Holgado E, Waterhouse D, Ready N, Gainor J, et al. Nivolumab versus docetaxel in advanced squamous-cell non-small-cell lung cancer. N Engl J Med. 2015; 373:123-135.
5. Zou W, Wolchok JD, Chen L. PD-L1 (B7-H1) and PD-1 pathway blockade for cancer therapy: mechanisms, response biomarkers, and combinations. Sci Transl Med. 2016; 8:328rv324.
6. Li Z, Dong P, Ren M, Song Y, Qian X, Yang Y, Li S, Zhang X, Liu F. PD-L1 expression is associated with tumor FOXP3(+) regulatory T-cell infiltration of breast cancer and poor prognosis of patient. J Cancer. 2016; 7:784-793.
7. Scheel AH, Ansen S, Schultheis AM, Scheffler M, Fischer RN, Michels S, Hellmich M, George J, Zander T, Brockmann M, Stoelben E, Groen H, Timens W, et al. PD-L1 expression in non-small cell lung cancer: correlations with genetic alterations. Oncoimmunology. 2016; 5:e1131379.
8. Calderaro J, Rousseau B, Amaddeo G, Mercey M, Charpy C, Costentin C, Luciani A, Zafrani ES, Laurent A, Azoulay D, Lafdil F, Pawlotsky JM. Programmed death ligand 1 expression in hepatocellular carcinoma: relationship with clinical and pathological features. Hepatology. 2016; 64:2038-2046.
9. Boger C, Behrens HM, Mathiak M, Kruger S, Kalthoff H, Rocken C. PD-L1 is an independent prognostic predictor in gastric cancer of Western patients. Oncotarget. 2016; 7:24269-24283. doi: 10.18632/oncotarget.8169.
10. Li Y, Liang L, Dai W, Cai G, Xu Y, Li X, Li Q, Cai S. Prognostic impact of programed cell death-1 (PD-1) and PD-ligand 1 (PD-L1) expression in cancer cells and tumor infiltrating lymphocytes in colorectal cancer. Mol Cancer. 2016; 15:55.
11. Shin SJ, Jeon YK, Kim PJ, Cho YM, Koh J, Chung DH, Go H. Clinicopathologic analysis of PD-L1 and PD-L2 expression in renal cell carcinoma: association with oncogenic proteins status. Ann Surg Oncol. 2016; 23:694-702.
12. Cierna Z, Mego M, Miskovska V, Machalekova K, Chovanec M, Svetlovska D, Hainova K, Rejlekova K, Macak D, Spanik S, Ondrus D, Kajo K, Mardiak J, Babal P. Prognostic value of programmed-death-1 receptor (PD-1) and its ligand 1 (PD-L1) in testicular germ cell tumors. Ann Oncol. 2016; 27:300-305.
13. Chowdhury S, Veyhl J, Jessa F, Polyakova O, Alenzi A, MacMillan C, Ralhan R, Walfish PG. Programmed death-ligand 1 overexpression is a prognostic marker for aggressive papillary thyroid cancer and its variants. Oncotarget. 2016; 7:32318-32328. doi: 10.18632/oncotarget.8698.
14. Gu X, Gao XS, Xiong W, Guo W, Han L, Bai Y, Peng C, Cui M, Xie M. Increased programmed death ligand-1 expression predicts poor prognosis in hepatocellular carcinoma patients. Onco Targets Ther. 2016; 9:4805-4813.
15. Li X, Li M, Lian Z, Zhu H, Kong L, Wang P, Yu J. Prognostic role of programmed death ligand-1 expression in breast cancer: a systematic review and meta-analysis. Target Oncol. 2016; 11:753-761.
16. Aguiar PN Jr, Santoro IL, Tadokoro H, de Lima Lopes G, Filardi BA, Oliveira P, Mountzios G, de Mello RA. The role of PD-L1 expression as a predictive biomarker in advanced non-small-cell lung cancer: a network meta-analysis. Immunotherapy. 2016; 8:479-488.
17. Xu F, Feng G, Zhao H, Liu F, Xu L, Wang Q, An G. Clinicopathologic significance and prognostic value of B7 homolog 1 in gastric cancer: a systematic review and meta-analysis. Medicine. 2015; 94:e1911.
18. Wang A, Wang HY, Liu Y, Zhao MC, Zhang HJ, Lu ZY, Fang YC, Chen XF, Liu GT. The prognostic value of PD-L1 expression for non-small cell lung cancer patients: a meta-analysis. Eur J Surg Oncol. 2015; 41:450-456.
19. Xia H, Shen J, Hu F, Chen S, Huang H, Xu Y, Ma H. PD-L1 over-expression is associated with a poor prognosis in Asian non-small cell lung cancer patients. Clinica Chimica Acta. 2017; 469:191-194.
20. Yoo Ie R, Chung SK, Park HL, Choi WH, Kim YK, Lee KY, Wang YP. Prognostic value of SUVmax and metabolic tumor volume on 18F-FDG PET/CT in early stage non-small cell lung cancer patients without LN metastasis. Biomed Mater Eng. 2014; 24:3091-3103.
21. Berghmans T, Dusart M, Paesmans M, Hossein-Foucher C, Buvat I, Castaigne C, Scherpereel A, Mascaux C, Moreau M, Roelandts M, Alard S, Meert AP, Patz EF Jr, et al. Primary tumor standardized uptake value (SUVmax) measured on fluorodeoxyglucose positron emission tomography (FDG-PET) is of prognostic value for survival in non-small cell lung cancer (NSCLC): a systematic review and meta-analysis (MA) by the European Lung Cancer Working Party for the IASLC Lung Cancer Staging Project. J Thorac Oncol. 2008; 3:6-12.
22. Cho A, Hur J, Moon YW, Hong SR, Suh YJ, Kim YJ, Im DJ, Hong YJ, Lee HJ, Kim YJ, Shim HS, Lee JS, Kim JH, Choi BW. Correlation between EGFR gene mutation, cytologic tumor markers, 18F-FDG uptake in non-small cell lung cancer. BMC Cancer. 2016; 16:224.
23. Kaira K, Oriuchi N, Shimizu K, Ishikita T, Higuchi T, Imai H, Yanagitani N, Sunaga N, Hisada T, Ishizuka T, Kanai Y, Endou H, Nakajima T, et al. Correlation of angiogenesis with 18F-FMT and 18F-FDG uptake in non-small cell lung cancer. Cancer Sci. 2009; 100:753-758.
24. Deng SM, Zhang W, Zhang B, Chen YY, Li JH, Wu YW. Correlation between the uptake of 18F-fluorodeoxyglucose (18F-FDG) and the expression of proliferation-associated antigen Ki-67 in cancer patients: a meta-analysis. PLoS One. 2015; 10:e0129028.
25. Shimizu K, Maeda A, Yukawa T, Nojima Y, Saisho S, Okita R, Nakata M. Difference in prognostic values of maximal standardized uptake value on fluorodeoxyglucose-positron emission tomography and cyclooxygenase-2 expression between lung adenocarcinoma and squamous cell carcinoma. World J Surg Oncol. 2014; 12:343.
26. Zhang M, Dong Y, Liu H, Wang Y, Zhao S, Xuan Q, Wang Y, Zhang Q. The clinicopathological and prognostic significance of PD-L1 expression in gastric cancer: a meta-analysis of 10 studies with 1,901 patients. Sci Rep. 2016; 6:37933.
27. Zhang M, Sun H, Zhao S, Wang Y, Pu H, Wang Y, Zhang Q. Expression of PD-L1 and prognosis in breast cancer: a meta-analysis. Oncotarget. 2017; 8:31347-31354. doi: 10.18632/oncotarget.15532.
28. Yang CY, Lin MW, Chang YL, Wu CT, Yang PC. Programmed cell death-ligand 1 expression is associated with a favourable immune microenvironment and better overall survival in stage I pulmonary squamous cell carcinoma. Eur J Cancer. 2016; 57:91-103.
29. Takada K, Okamoto T, Toyokawa G, Kozuma Y, Matsubara T, Haratake N, Akamine T, Takamori S, Katsura M, Shoji F, Oda Y, Maehara Y. The expression of PD-L1 protein as a prognostic factor in lung squamous cell carcinoma. Lung Cancer. 2017; 104:7-15.
30. Wang J, Yuan R, Song W, Sun J, Liu D, Li Z. PD-1, PD-L1 (B7-H1) and tumor-site immune modulation therapy: the historical perspective. J Hematol Oncol. 2017; 10:34.
31. Tsao MS, Le Teuff G, Shepherd FA, Landais C, Hainaut P, Filipits M, Pirker R, Le Chevalier T, Graziano S, Kratze R, Soria JC, Pignon JP, Seymour L, Brambilla E. PD-L1 protein expression assessed by immunohistochemistry is neither prognostic nor predictive of benefit from adjuvant chemotherapy in resected non-small cell lung cancer. Ann Oncol. 2017; 28:882-889.
32. Bille A, Okiror L, Skanjeti A, Errico L, Arena V, Penna D, Ardissone F, Pelosi E. The prognostic significance of maximum standardized uptake value of primary tumor in surgically treated non-small-cell lung cancer patients: analysis of 413 cases. Clin Lung Cancer. 2013; 14:149-156.
33. Lee DS, Kim SJ, Jang HS, Yoo Ie R, Park KR, Na SJ, Lee KY, Hong SH, Kang JH, Kim YK, Kim YS. Clinical correlation between tumor maximal standardized uptake value in metabolic imaging and metastatic tumor characteristics in advanced non-small cell lung cancer. Medicine. 2015; 94:e1304.
34. Liu J, Dong M, Sun X, Li W, Xing L, Yu J. Prognostic value of 18F-FDG PET/CT in surgical non-small cell lung cancer: a meta-analysis. PLoS One. 2016; 11:e0146195.
35. Tsutani Y, Miyata Y, Misumi K, Ikeda T, Mimura T, Hihara J, Okada M. Difference in prognostic significance of maximum standardized uptake value on [18F]-fluoro-2-deoxyglucose positron emission tomography between adenocarcinoma and squamous cell carcinoma of the lung. Jpn J Clin Oncol. 2011; 41:890-896.
36. Ettinger DS, Wood DE, Akerley W, Bazhenova LA, Borghaei H, Camidge DR, Cheney RT, Chirieac LR, D'Amico TA, Dilling TJ, Dobelbower MC, Govindan R, Hennon M, et al. NCCN guidelines insights: non-small cell lung cancer, version 4.2016. J Natl Compr Canc Netw. 2016; 14:255-264.
37. Meng X, Huang Z, Teng F, Xing L, Yu J. Predictive biomarkers in PD-1/PD-L1 checkpoint blockade immunotherapy. Cancer Treat Rev. 2015; 41:868-876.
38. Heskamp S, Hobo W, Molkenboer-Kuenen JD, Olive D, Oyen WJ, Dolstra H, Boerman OC. Noninvasive imaging of tumor PD-L1 expression using radiolabeled anti-PD-L1 antibodies. Cancer Res. 2015; 75:2928-2936.
39. Josefsson A, Nedrow JR, Park S, Banerjee SR, Rittenbach A, Jammes F, Tsui B, Sgouros G. Imaging, biodistribution, and dosimetry of radionuclide-labeled PD-L1 antibody in an immunocompetent mouse model of breast Cancer. Cancer Res. 2016; 76:472-479.
40. Wang D, Zhang M, Gao X, Yu L. Prognostic value of baseline 18F-FDG PET/CT functional parameters in patients with advanced lung adenocarcinoma stratified by EGFR mutation status. PLoS One. 2016; 11:e0158307.
41. Topalian SL, Hodi FS, Brahmer JR, Gettinger SN, Smith DC, McDermott DF, Powderly JD, Carvajal RD, Sosman JA, Atkins MB, Leming PD, Spigel DR, Antonia SJ, et al. Safety, activity, and immune correlates of anti-PD-1 antibody in cancer. N Engl J Med. 2012; 366:2443-2454.
42. Brahmer JR, Drake CG, Wollner I, Powderly JD, Picus J, Sharfman WH, Stankevich E, Pons A, Salay TM, McMiller TL, Gilson MM, Wang C, Selby M, et al. Phase I study of single-agent anti-programmed death-1 (MDX-1106) in refractory solid tumors: safety, clinical activity, pharmacodynamics, and immunologic correlates. J Clin Oncol. 2010; 28:3167-3175.