INTRODUCTION
Myeloproliferative neoplasms (MPNs) are clonal diseases of hematopoietic stem cells. MPNs usually exhibit terminal myeloid cell expansion in the peripheral blood [1]. BCR-ABL1 rearrangement-negative MPNs can be classified as polycythemia vera (PV), essential thrombocythemia (ET), or primary myelofibrosis (PMF). In general, 90–95% of PV patients and 50–60% of ET and PMF patients have Janus kinase 2 (JAK2) V617F mutations, and 3% of PV patients have JAK2 exon 12 mutations [2, 3]. The discovery of JAK2 mutations has been a great help in the diagnosis of BCR-ABL1 rearrangement-negative MPNs.
Subsequent studies identified a thrombopoietin receptor (MPL) exon 10 mutation in 3–5% of ET patients and 5–8% of PMF patients without JAK2 mutations [4–6]. In 2008, the World Health Organization (WHO) designated JAK2 and MPL mutations as MPN diagnostic criteria [7, 8]. Recently, mutations in the calreticulin (CALR) gene, which encodes the calreticulin protein, were found in 50–80% of ET and PMF patients, all of whom lacked JAK2 and MPL mutations [9, 10]. The discovery of CALR mutations further assists the diagnosis of BCR-ABL1 rearrangement-negative MPNs, and it is thought that CALR mutations will eventually be included in the ET and PMF diagnostic criteria of the WHO [11].
More than 50 types of CALR mutations have been reported, and more than 80% of CALR mutations are characterized by a 52-bp loss (p.L367fs*46) or a 5-bp TTGTC insertion (p.K385fs*47) [12]. A previous study detected CALR mutations in 67% of ET patients and 88% of PMF patients with JAK2/MPL mutation-negative MPNs. In their study, the clinical features of patients with CALR mutations, compared with those with JAK2 mutations, were as follows; lower levels of hemoglobin and white blood cells, lower risk of thrombosis, higher platelet counts, and better survival rates [9]. Another study also found CALR mutations in patients with JAK2/MPL mutation-negative MPNs [10]. In that study, positive rates of CALR mutation were 71%, 56%, and 86% in ET, PMF, and post-ET myelofibrosis patients, respectively, and CALR mutations were associated with higher platelet counts, lower hemoglobin levels, and more extensive fibrosis progression.
Most studies of CALR mutations were performed on JAK2 mutation-negative MPN patients, and at present, there is little information about the coexistence of the JAK2 V617F mutation and CALR exon 9 mutations [13–18]. A systematic investigation of patients with both mutations and of their combined effects on the pathophysiology, treatment outcome, phenotype, and clinical features of patients with MPNs is needed [12]. Some current studies report lower CALR mutation frequencies than those reported in earlier studies, and CALR mutation frequencies are thought to differ according to race and country [9, 14, 19, 20]. Patients with type 1 and type 2 CALR mutations have different prognoses, and previously it was reported that MPN patients with type 1 CALR mutation but not type 2 CALR mutations had a better prognosis than those with JAK2 mutations [21].
The purpose of our study was to determine the frequency of CALR mutations (first cohort of 123 MPN patients) and coexisting CALR and JAK2 mutations (combined cohort subset of 167 ET patients) in Korean patients with BCR-ABL1 rearrangement-negative MPNs. We also examined the clinical features, progression-free survival, and treatment response of ET patients with these mutations.
RESULTS
CALR mutation frequency in patients with BCR-ABL1 rearrangement-negative MPNs
JAK2 V617F, JAK2 exon 12, MPL exon 10, and CALR exon 9 mutation frequencies in first cohort of 123 patients with BCR-ABL1 rearrangement-negative MPNs are shown in Table 1. The overall mutation frequencies for CALR exon 9 mutations were 20.3% (25/123) in all MPN patients, 31.1% (23/74) in ET patients, 25.0% (1/4) in PMF patients, and 2.2% (1/45) in PV patients. Five of the 26 ET patients with a JAK2 V617F mutation also had a CALR exon 9 mutation (Figure 1). The sample from 1 of above 5 patients contained a fragment whose size differed from that of the normal CALR exon 9 fragment as determined via DNA fragment analysis (the screening test for CALR mutations). However, this fragment did not contain any CALR mutations as determined via direct sequencing (the second test). A CALR exon 9 mutation was also observed in a PV patient who was negative for JAK2 mutations; however, this mutation was only observed in the fragment analysis and not via direct sequencing. Above cases with abnormal size of CALR exon 9 fragment were considered to be mutated (Table 1).

Figure 1: Representative results of JAK2 and CALR mutations in a patient with both mutations. A. Real-time quantitative polymerase chain reaction amplification plot of a JAK2 V617F mutation shows the amplification curves for the wild-type (marked in purple) and the mutant (marked in green) alleles. The wild-type control had a CT of 48, and the double mutation had a CT of 39. B. CALR exon 9 fragment analysis sizing plot shows an abnormal peak with about a 50-bp difference compared with the wild-type peak (top). The results of direct sequencing show a type 1 mutation resulting from a 52-bp deletion (c.1092_1143del) (bottom).
Table 1: The mutational status of 123 patients with BCR-ABL1 rearrangement-negative myeloproliferative neoplasms
Mutation |
ET, n (%) (n = 74) |
PMF, n (%) (n = 4) |
PV, n (%)(n = 45) |
Total, n (%) |
||||
|---|---|---|---|---|---|---|---|---|
Mutant |
Wild type |
Mutant |
Wild type |
Mutant |
Wild type |
Mutant |
Wild type |
|
JAK2 V617F |
26(35.1) |
48(64.9) |
1(25.0) |
3(75.0) |
19(42.2) |
26(57.8) |
46(37.4) |
77(62.6) |
JAK2 exon 12 |
N/T |
N/T |
N/T |
N/T |
0 |
26 |
0 |
26 |
MPL exon 10 |
1(2.1) |
47(97.9) |
2(66.7) |
1(33.3) |
N/T |
N/T |
3(5.9) |
48(94.1) |
CALR exon 9 |
23*(31.1) |
51(68.9) |
1(25.0) |
3(75.0) |
1*(2.2) |
44(97.8) |
25(20.3) |
98(79.7) |
ET, essential thrombocythemia; PMF, primary myelofibrosis; PV, polycythemia vera; CNL, chronic neutrophilic leukemia; n, number; N/T, not tested. *Two patients with ET and 1 patient with PV had a low mutant allele burden; therefore, mutations were detected via fragment analysis rather than direct sequencing. Those cases were considered to be mutated.
JAK2 and CALR mutation frequency in ET patients
Among the 74 ET patients out of 123 MPN patients, 1 had an MPL exon 10 mutation and 2 did not have a CALR exon 9 mutation detectable via direct sequencing; these 3 patients were excluded from our analysis. Accordingly, the samples from 71 ET patients (out of the 123 patients) and an additional 96 ET patients were examined for JAK2 and CALR mutation. In total, combined cohort subset of 167 ET patients were classified as follows: JAK2+/CALR+, JAK2+/CALR-, JAK2-/CALR+, and JAK2-/CALR-. The frequency of each subgroup of ET patients were as follows: 4% (n=7) were JAK2+/CALR+, 62% (n=103) were JAK2+/CALR-, 11% (n=19) were JAK2-/CALR+, and 23% (n=38) were JAK2-/CALR- (Table 2).
Table 2: Clinical and laboratory characteristics of 167 patients with essential thrombocythemia according to the mutational status of JAK2 and CALR
Characteristic |
JAK2+/CALR+ (A) |
JAK2+/CALR- (B) |
JAK2-/CALR+ (C)‡ |
JAK2-/CALR- (D) ‡ |
P value |
|||||
|---|---|---|---|---|---|---|---|---|---|---|
AvsB |
AvsC |
AvsD |
BvsC |
BvsD |
CvsD |
|||||
Patients, n (%) |
7 (4) |
103 (62) |
19 (11) |
38 (23) |
- |
- |
- |
- |
- |
- |
Male, n† |
3 |
53 |
10 |
13 |
0.714 |
1.000 |
0.686 |
1.000 |
0.087 |
0.253 |
Age at onset, years, SE (med; ran)* |
7.0 |
1.2 |
3.3 |
2.9 |
0.783 |
0.977 |
0.511 |
0.619 |
0.008 |
0.152 |
WBC count, × 109/L, SE |
1.5 |
0.7 |
0.8 |
0.5 |
0.006 |
0.355 |
0.594 |
0.002 |
<0.0001 |
0.286 |
Hemoglobin, g/dL, SE |
0.83 |
0.20 |
0.33 |
0.32 |
0.225 |
0.685 |
0.707 |
0.188 |
0.0003 |
0.080 |
Platelet count, × 109/L, SE |
110 |
24 |
97 |
50 |
0.995 |
0.355 |
0.719 |
0.089 |
0.566 |
0.306 |
Lactate dehydrogenase, mU/mL,SE |
88 |
19 |
48 |
31 |
0.233 |
0.885 |
0.835 |
0.272 |
0.026 |
0.478 |
Splenomegaly, n (%)† |
3 |
35 |
7 |
4 |
0.691 |
1.000 |
0.064 |
0.799 |
0.006 |
0.031 |
Thrombotic events, n (%)† |
0 |
32 |
3 |
3 |
0.104 |
0.540 |
1.000 |
0.270 |
0.004 |
0.389 |
Plateletpheresis, n (%)† |
4 |
34 |
8 |
12 |
0.232 |
0.665 |
0.225 |
0.444 |
1.000 |
0.558 |
Transformation to secondary MF or AL, n (%)† |
0 |
7 (7) |
0 |
0 |
1.000 |
N/A |
N/A |
0.594 |
0.190 |
N/A |
n, number; SE, standard error; med, median; ran, range; WBC, white blood cell; MF, myelofibrosis; AL, acute leukemia; N/A, not applicable.*P values were calculated using the Mann-Whitney U test. †P values were calculated using the Fisher’s exact test. ‡ Group C and D were all negative for MPL exon 10 mutation.
Clinical features of the ET patient groups classified according to JAK2 and CALR mutations
There were no significant differences between the JAK2+/CALR+ group and the other groups except that white blood cell counts were lower in the JAK2+/CALR+ group than in the JAK2+/CALR- group. The JAK2+/CALR- group had higher white blood cell counts and levels of hemoglobin and lactate dehydrogenase and higher rates of splenomegaly and thrombosis than did the JAK2-/CALR-group. Also, the JAK2+/CALR- group contained more elderly patients than did the JAK2-/CALR-group. Meanwhile, the JAK2-/CALR+ group had higher rates of splenomegaly than did the JAK2-/CALR- group.
In JAK2- groups (JAK2-/CALR+ and JAK2-/CALR-), no patient had experienced disease progression. Therefore, JAK2- groups showed better PFS than JAK2+ groups (JAK2+/CALR+ and JAK2+/CALR-), albeit without statistical significance (Table 3 and Figure 2B, P=0.060). Then again, we performed multivariable Cox regression analyses, examining age, sex, white blood cell count, hemoglobin, platelet count, lactate dehydrogenase, mutational status of JAK2/CALR, splenomegaly, and thrombosis. As a result, age (HR = 1.079; 95 % CI, 1.008–1.155; P = 0.029), lactate dehydrogenase (HR = 1.003; 95 % CI, 1.000–1.006; P = 0.030), thrombosis (HR = 14.512; 95 % CI, 2.991–70.410; P = 0.001) remained an independent predictor for PFS.

Figure 2: Kaplan-Meier survival curves showing the progression-free survival (PFS) in 167 essential thrombocythemia (ET) patients according to mutational status. A. PFS categorized according to the mutational status of JAK2 and CALR. The survival line of JAK2-/CALR- group (green) was hidden in the back of that of JAK2-/CALR+ group (blue). B. PFS categorized according to the mutational status of JAK2.
Table 3: Disease progression of 167 patients with essential thrombocythemia according to the mutational status of JAK2 and CALR
Characteristics |
JAK2+/CALR+ (A) |
JAK2+/CALR- (B) |
JAK2-/CALR+ (C) |
JAK2-/CALR- (D) |
P value* |
|||||
|---|---|---|---|---|---|---|---|---|---|---|
AvsB |
AvsC |
AvsD |
BvsC |
BvsD |
CvsD |
|||||
Disease progression (%) in 4 groups |
1/7(14.3) |
9/103(8.7) |
0/19(0.0) |
0/38(0.0) |
0.708 |
0.157 |
0.480 |
0.171 |
0.217 |
N/A |
Disease progression (%) in 2 groups (JAK2+ vs JAK2-) |
10/110(9.1) |
0/57(0.0) |
0.060 |
|||||||
N/A, not applicable.
*P values were calculated using the Mann-Whitney U test.
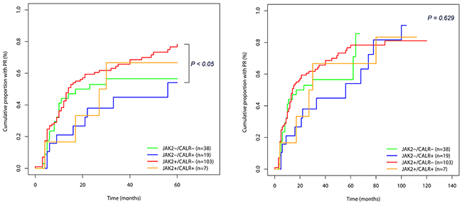
In the treatment response, the 5-year cumulative proportion with partial remission was best in JAK2+/CALR- group as 78.3% and the next was JAK2+/CALR+, JAK2-/CALR-, JAK2-/CALR+ in orders (Table 4 and Figure 3A). Especially, the 5-year cumulative proportion with partial remission in JAK2+/CALR- group (78.3%) was higher than that of JAK2-/CALR+ group (54.1%) with statistical significance (Table 4, P<0.05). The 10-year cumulative proportion with partial remission were not statistically different between the 4 groups (Table 4 and Figure 3B). Meanwhile, the elapsed time to achieve partial remission of half of patients in each group was shortest in JAK2+/CALR- as 14 months and the next was JAK2-/CALR-, JAK2+/CALR+, JAK2-/CALR+ in orders. The elapsed time to achieve partial remission in half of patients (PR50) of JAK2-/CALR+ group was 56 months, it was 4 times longer than that of JAK2+/CALR- group (Table 5).

Figure 3: Treatment response (cumulative proportion to achieve partial remission) in 167 essential thrombocythemia (ET) patients according to mutational status. A. Cumulative proportion with PR categorized according to the mutational status of JAK2 and CALR when follow-up duration was 5 years. B. Cumulative proportion with PR categorized according to the mutational status of JAK2 and CALR when follow-up duration was 10 years.
Table 4: Treatment response* of 167 patients with essential thrombocythemia according to the mutational status of JAK2 and CALR
Follow-up duration |
JAK2+/CALR+ |
JAK2+/CALR- |
JAK2-/CALR+ |
JAK2-/CALR- |
P value† |
|||||
|---|---|---|---|---|---|---|---|---|---|---|
AvsB |
AvsC |
AvsD |
BvsC |
BvsD |
CvsD |
|||||
5 years |
66.7*(0.00–89.2) |
78.3(66.6–85.9) |
54.1(19.8–73.7) |
56.6(35.9–70.6) |
0.450 |
0.554 |
0.997 |
0.043 |
0.219 |
0.395 |
10 years |
83.3(0.3–97.2) |
81.0(68.6–88.6) |
90.8(42.2–98.5) |
85.5(24.8–97.2) |
0.668 |
0.978 |
0.640 |
0.236 |
0.416 |
0.183 |
*The cumulative proportion to achieve partial remission (%) and its 95% confidential interval.
†P values were calculated using the Mann-Whitney U test
Table 5: Elapsed time to achieve partial remission in half of patients (PR50) according to the mutational status of JAK2 and CALR
Characteristics |
JAK2+/CALR+ (A) |
JAK2+/CALR- (B) |
JAK2-/CALR+ (C) |
JAK2-/CALR- (D) |
|---|---|---|---|---|
Elapsed time to PR50, months (95% CI) |
28.5 (17–N/A) |
14 (12–27) |
56 (21–N/A) |
20 (10–N/A) |
CI, confidence interval; N/A, not applicable
CALR mutation type analysis in ET patients
Twenty-six of the 167 ET patients had CALR mutations. These mutations were as follows: a 52-bp loss (type 1, pL367fs*46; 13patients), a 5-bp insertion (type 2, p.K385fs*47; 7 patients), and c.1095_1140del (type 3; 1 patient) (Table 6). The remaining 5 patients had novel mutations including c.1105_1138del (p.E369fs*50), c.1103_1136del (p.K368fs*51), c.1093_1126del (p.Q365fs*54), c.1144del (p.D382fs*48), and c.1132_1154 delins TGTC (p.E378fs*46), which had both a deletion and an insertion.
Table 6: Types and frequencies of CALR mutation in 167 patients with essential thrombocythemia
CALR mutation* |
cDNA annotation |
C-terminal amino acid sequence† |
Protein annotation |
Frequency |
|
|---|---|---|---|---|---|
n |
% |
||||
Type 1 |
c.1092_1143del |
AAEKQMKDKQDEEQ |
p.L367fs*46 |
13 |
50.0 |
Type 2 |
c.1154_1155 insTTGTC |
AAEKQMKDKQDEEQRLKEE |
p.K385fs*47 |
7 |
26.9 |
Type 3 |
c.1095_1140del |
AAEKQMKDKQDE |
p.L367fs*48 |
1 |
3.8 |
Novel |
c.1105_1138del |
AAEKQMKDK |
p.E369fs*50 |
1 |
3.8 |
Novel |
c.1103_1136del |
AAEKQMKDK |
p.K368fs*51 |
1 |
3.8 |
Novel |
c.1093_1126del |
AAEKQMKDKQD |
p.Q365fs*54 |
1 |
3.8 |
Novel |
c.1132_1154 delinsTGTC |
AAEKQMKDKQDEEQRLKEEEED |
p.E378fs*46 |
1 |
3.8 |
Novel |
c.1144del |
AAEKQMKDKQD |
p.D382fs*48 |
1 |
3.8 |
Total |
26 |
100 |
|||
Wild type reference sequence |
AAEKQMKDKQD |
||||
*“Novel” refers to mutation types not described in the literature [1–3]. †Amino acids in bold show the novel C-terminal peptide sequence that commonly results from an altered reading frame lacking the KDEL (endoplasmic reticulum retention signal) motif.
Clinical and laboratory characteristics of ET patients with type 1 and type 2 CALR mutations
The characteristics of ET patients with type 1 CALR mutations (n=9) and type 2 CALR mutations (n=6) were compared; neither group had a JAK2 mutation (Table 7). Thrombosis was more frequent in the type 2 group than the type 1 group. There were no significant differences in age, sex, hematologic parameters, or frequency of splenomegaly or therapeutic plateletpheresis between the groups. The PFS rates of the 2 groups were not significantly different (P=1.000).
Table 7: Clinical and laboratory characteristics of ET patients with type 1 or type 2 CALR mutations
Characteristic |
Type 1 (n = 9) |
Type 2 (n = 6) |
P |
|---|---|---|---|
Male, n† |
4 |
3 |
1.000 |
Age at onset, years, median (range)* |
62 (49–76) |
64 (25–80) |
0.864 |
WBC count, × 109/L, median (range)* |
7.7 (4.5–15.8) |
11.1 (6.2–13.6) |
0.224 |
Hemoglobin, g/dL, median (range)* |
13.3 (10.1–15.5) |
13.2 (11.5–15.9) |
1.000 |
Platelet count, × 109/L, median (range)* |
1021 (557–1839) |
1074 (712–2232) |
0.864 |
Lactate dehydrogenase, mU/mL, median (range)* |
491 (267-872) |
467 (200–1000) |
0.864 |
Splenomegaly, n (%)† |
3 (33.3%) |
2 (33.3%) |
1.000 |
Thrombotic events, n (%)† |
0 |
3 (50.0%) |
0.044‡ |
Plateletpheresis, n (%)† |
3 (33.3%) |
4 (66.7%) |
0.315 |
Transformation to secondary MF or AL, n† |
0 |
0 |
N/A |
ET, essential thrombocythemia; n, number; WBC, white blood cell; MF, myelofibrosis; AL, acute leukemia; N/A, not applicable.
*P values were calculated using the Mann-Whitney U test.
†P values were calculated using Fisher’s exact test.
‡Statistical significance
DISCUSSION
CALR encodes a multi-functional Ca2+-binding protein termed calreticulin that is primarily found in the nucleus, cell membrane, and extracellular matrix [22]. The CALR gene is located on chromosome 19p13.2, is composed of 9 exons, and is about 4.2 kb [23, 24]. Calreticulins participates in Ca2+ homeostasis, the removal of mis-folded proteins, cell adhesion, immune responses to cancers, phagocytosis, and signaling [22, 25]. Unusual manifestations of calreticulin have been observed in various cancers occurred in ovary, pancreas, and breast [26–28] and point mutations in the CALR gene promoter have been reported in patients with schizophrenia [29].
Previously, the frequencies of CALR exon 9 mutations in MPN patients without JAK2 or MPL mutation were reported to 67% in ET patients and 88% in PMF patients in one study [9], and 82% in ET patients and 80% in PMF patients in other study [10]. In the first cohort of 123 MPN patients of this study, the frequency of CALR mutations was 31.1% in all ET patients and 25.0% in all PMF patients, regardless of the JAK2 or MPL mutation (Table 1). These rates of CALR mutation seems to be diverse according to race and country; previously reported rates of CALR mutations for ET patients are 67.0% (considering ET patients without JAK2 or MPL mutation) in Austria [9], 15.5% (considering all ET patients) in Italy [19], 22.5% (considering all ET patients) in Taiwan [14], and 25.0% (considering all ET patients) in Han China [20]. In addition to ET and PMF patients, CALR mutations have also been observed in 3(13.0%) of 24 patients with refractory anemia with ringed sideroblasts and marked thrombocytosis; none of the 3 patients had JAK2 or MPL mutations [9]. In other study, CALR mutations have also been detected in patients with myelodysplastic syndrome (8.3%; n=120), chronic myelomonocytic leukemia (3%; n=33), and atypical chronic myelogenous leukemia (CML) (3.4%; n=29) [10].
In this study, a small number of mutant alleles were observed in one PV patient in a CALR DNA fragment analysis. This patient was a 64-year-old man with a white blood cell count of 7.5 × 109/L, a hemoglobin level of 19.4 g/dL, a hematocrit level of 54.5%, a platelet count of 291 × 109/L, and a normal erythropoietin level. He did not have any JAK2 V617F or JAK2 exon 12 mutations. Although an earlier study did not detect any CALR mutations in PV patients, a more recent study found CALR mutations in 2 PV patients negative for JAK2 mutations and demonstrated the existence of clones of peripheral blood granulocyte and burst-forming unit-erythroid progenitors [13]. It also suggested the possibility of a relationship between CALR mutations and the PV phenotype, justifying recommendations for CALR mutation tests in PV patients negative for JAK2 mutations. Because CALR mutations occur in multipotent progenitor cells that can differentiate into erythroid and myeloid lineage cells [10], we hypothesize that these mutations play a role in tumorigenesis not only in the megakaryocytes of ET and PMF patients, but also in the erythroid cells of PV patients.
Allele-specific PCR (AS-PCR), DNA fragment analysis, direct sequencing, and immunostaining are commonly used to detect CALR mutations [9, 30, 31]. Chi et al. previously compared AS-PCR with DNA fragment analysis using capillary gel electrophoresis. In their report, a very small number of mutant alleles that could not be detected via agarose gel electrophoresis were detectable via fragment analysis, which had a sensitivity of less than 5% [30]. In this study, samples from two ET patients and one PV patient contained fragments with atypical sizes in fragment analysis; however, these variant alleles were not detectable via direct sequencing. The percentages of mutant alleles detected via fragment analysis were 5.1% and 4.8% in two ET patients, respectively, and 14.6% in the PV patient. The percentage of mutant alleles in total DNA required for detection via direct sequencing is usually more than 10–15%. Accordingly, mutations might not have been detected in the patients in our study with percentages less than 15%.
A previous domestic study showed that 27.4% of ET patients (n=84) and 22.4% of PMF patients (n=49) had CALR mutations; however, none of these patients also had JAK2 mutations [32]. In that study, CALR mutations were examined via direct sequencing, whereas JAK2 mutations were examined via AS-PCR. Detection of JAK2 V617F mutations via AS-PCR requires a sensitivity of about 3%, and real-time PCR has a sensitivity of less than 1% [33]. Although the CALR mutation frequencies in the ET and PMF patients in our study were similar to above study, the frequencies of simultaneous JAK2 and CALR mutations were different, presumably owing to sensitivity differences between the detection methods. In particular, the allele burden of CALR mutations was very small in only one of the 8 patients of JAK2+/CALR+ group of this study, accordingly the CALR mutation was not detected via direct sequencing in the one patient. By contrast, the allele burden of JAK2 V617F mutations was very small in all 8 patients of JAK2+/CALR+ group of this study (mean, 0.21%; range, 0.10–0.38) (Table 8). Therefore, it appears that detection sensitivity is much more critical for detecting JAK2 mutations than for detecting CALR mutations. The amount of JAK2 mutant alleles in the JAK2+/CALR+ patients in previous studies was also very small (below 5%, Table 8).
Table 8: Summary of patient characteristics, mutation types, and allele burdens in patients with both JAK2 and CALR mutations in this study and previous studies
No. Case |
Diagnosis |
Sex |
Age |
CALR mutation |
CALR allele burden (%) |
JAK2 allele burden (%) |
Reference |
|---|---|---|---|---|---|---|---|
1 |
ET |
U |
U |
U |
U |
U |
[4] |
2 |
RARS-T |
F |
73 |
c.1129_1138del |
U |
4 |
[5] |
3 |
PMF |
U |
U |
c.1092_1143del (type 1) |
U |
U |
[6] |
4 |
ET |
F |
79 |
c.1094_1139del (type 6) |
10.5 |
<1 |
[7] |
5–8 |
PMF |
U |
U |
U |
U |
U |
[8] |
9 |
ET |
U |
U |
c.1092_1143del (type 1) |
U |
0.03 |
[9] |
10 |
ET |
F |
62 |
c.1095_1140del (type 3) |
24.22 |
0.16 |
this study |
11 |
ET |
M |
29 |
c.1144del |
50.37 |
0.27 |
this study |
12 |
ET |
F |
71 |
c.1092_1143del (type 1) |
61.08 |
0.12 |
this study |
13 |
ET |
F |
61 |
U* |
4.47 |
0.10 |
this study |
14 |
ET |
F |
74 |
c.1092_1143del (type 1) |
89.48 |
0.38 |
this study |
15 |
ET |
M |
37 |
c.1092_1143del (type 1) |
40.65 |
0.14 |
this study |
16 |
ET |
M |
57 |
c.1154_1155insTTGTC (type 2) |
36.92 |
0.26 |
this study |
17 |
ET |
F |
77 |
c.1092_1143del (type 1) |
47.54 |
0.28 |
this study |
ET, essential thrombocythemia; RARS-T, refractory anemia with ringed sideroblasts and marked thrombocytosis; PMF, primary myelofibrosis; U, unknown; F, female; M, male. *CALR mutations were detected only via gene fragment analysis owing to low allele burden.
In a previous study, ET patients with CALR mutations appeared to have lower hemoglobin levels and white blood cell counts, higher platelet counts, a lower risk of thrombosis, and a much higher rate of survival and fibrosis progression than ET patients with JAK2 mutation [9, 10]. In this study, there were no significant differences in clinical parameters except white blood cell counts, between patients with CALR mutations and those with JAK2 mutations. There were, however, significant differences between patients with JAK2 mutations (rather than CALR mutations) and those in the JAK2-/CALR- group (Table 2). This finding suggests that JAK2 mutations have a greater effect on the disease phenotype and clinical characteristics than do CALR mutations.
All types of CALR mutations reported thus far result in frameshifts that create a new C-terminal domain of the protein, which consists of at least 36 amino acids. In contrast to wild type in which amino acid with a wide range of negative charge is appeared, these new sequences make amino acid which is positively charged in many parts, resulting in a protein defective in endoplasmic reticulum signaling. This defect affects the intracellular localization, stability, and function of CALR and eventually it is related to carcinogenesis [9, 10].
In recent studies of ET patients, the percentages of type 1 and type 2 CALR mutations were 46% and 38%, respectively [34]. These percentages are similar to those reported here: 50% in type 1 and 27% in type 2. The results for PMF patients were more variable in previous studies. In a Western study, 80% of CALR mutations in PMF patients were type 1, and 11% were type 2 [21]. In contrast, 32% were type 1 and 34% were type 2 in a Chinese study [35], and 82% were type 1 and 9% were type 2 in a Korean study (n = 11) [32]. In this study, one (25%) of 4 PMF patients had a type 2 CALR mutation. The differences between studies may reflect the different sensitivities of the detection methods used or the different genetic backgrounds of PMF pathogenesis in the different ethnic groups [36].
In a study of 1,027 ET patients, both type 1 and type 2 CALR mutations were associated with higher platelet counts, lower white blood cell counts, and lower hemoglobin levels than JAK2 mutations [37]. However, type 1 was more frequent in men, and type 2 was more frequent in younger individuals and correlated with significantly higher platelet counts. Therefore, it appears that the type of CALR mutation influences platelet formation differently.
Recently, a multicenter study compared the survival rate of CALR-mutated ET and JAK2-mutated ET patients [38]. The result showed a tendency that the survival rate of CALR-mutated ET is better than that of JAK2-mutated ET, but it was not statistically significant.
Current study showed the tendency that ET patients without mutated JAK2 showed the better PFS than those with mutated JAK2 regardless of CALR mutation (Figure 2B), but it was statistically not significant (P=0.060). Also we found that age, level of lactate dehydrogenase, and thrombotic event was an independent prognostic factor for a PFS outcome. ET patients with type 2 CALR mutations had a significantly higher frequency of thrombosis than those with type 1 mutations (Table 7), and although not significant, they tended to have a lower PFS rate (detailed data not shown).
Differently from PFS, the elapsed time to achieve the partial remission was significantly longer in CALR-mutated groups. This finding was previously not reported in any other studies and implies the possibility of refractoriness of CALR mutation to the current treatment regimens. More studies with larger patient cohorts and about the pathophysiology of CALR mutation are required to confirm the clinical impact of CALR mutation to the survival and treatment response.
In conclusion, we found that CALR mutations can coexist with JAK2 mutations, in contrast to earlier reports. Coexistence, however, did not definitively affect prognosis or clinical features. Our data suggest that JAK2 mutations have a greater effect on the disease phenotype and the clinical features of ET patients rather than do CALR mutation. Mutated JAK2 group of ET patients showed inferior PFS regardless of CALR mutation, but they revealed early response to treatment than mutated CALR group. This study also showed that thrombosis was more frequent in ET patients with type 2 CALR mutations than in those with type 1 CALR mutations.
METHODS
Patients
The frequency of CALR mutations was determined in bone marrow (BM) samples from 123 Korean patients who were diagnosed with BCR-ABL1 rearrangement-negative MPNs. Among these 123 MPN patients, 74 had ET, 4 had PMF, and 45 had PV. All diseases were diagnosed according to the criteria of the WHO [7, 39]. The clinical and diagnostic information of MPN patients was obtained from the electronic medical records of our hospital. Seventy-three (59.3%) out of the 123 patients were men and 50 were (40.7%) women, and the median age was 55 years (range, 4–84 years). We also examined BM samples from 96 ET patients, who were additionally included to current study cohort, to determine the frequency of coexisting JAK2 and CALR mutations and their association with clinical features and prognosis (Figure 4). Forty-eight (50.0%) of those 96 patients were men and 48 (50.0%) were women, and the median age was 62.5 years (range, 31–87 years). The treatment regimen was based on the cytotoxic agent, hydroxyurea. The initial dose of hydroxyurea was 20–30 mg/kg per day. In case thrombocytosis was not controlled by hydroxyurea, anagrelide HCl was added as 0.5 mg q.i.d. Treatment was continued during the follow-up period through adjusting the dose. All enrolled MPN patients gave their written, informed consent in accordance with the Declaration of Helsinki. This study was approved by the institutional review board of Chonnam National University Hwasun Hospital (Hwasun, Korea).

Figure 4: Flow chart describing the patient cohorts analyzed in this study. A total of 219 patients with BCR-ABL1 rearrangement-negative MPNs were enrolled. Because coexisting JAK2 and CALR mutations were observed in the ET patients in the first patient cohort (n = 123), a second cohort of 96 ET patients was added. According to the mutational status of JAK2 or CALR and the type of CALR mutation, the clinical and laboratory characteristics were analyzed in the 167 ET patients. Abbreviations: ET, essential thrombocythemia; PMF, primary myelofibrosis; PV, polycythemia vera; CNL, chronic neutrophilic leukemia; WBC, white blood cell, Hb, hemoglobin; LDH, lactate dehydrogenase.
Total DNA extraction
Total DNA was extracted from remaining BM specimens, which were collected during BM examinations for diagnostic purposes or as follow–ups and stored in a freezer at -20°C. Commercial kit (QIAamp blood mini kit; Qiagen, Hamburg, Germany) was used for DNA extraction. The concentration of the extracted DNA, measured via spectrophotometry, was 100–400 ng/L.
Analysis of JAK2 mutations
Quantitative polymerase chain reaction (PCR) for the JAK2 V617F mutation
The JAK2 V617F mutation was detected via quantitative real-time PCR (JAK2 MutaQuant assay kit; Ipsogen, Marseille, France) and allele specific-PCR (AS-PCR) [40]. The reaction mixtures contained 5L of the extracted DNA, TaqMan universal PCR master mix (Applied Biosystems; Foster City, CA, USA), primers, TaqMan probe, and distilled water. Real-time PCR was performed using an ABI 7500 system (Applied Biosystems) as follows: 10 minutes at 95°C, 2 minutes at 50°C, 15 seconds at 95°C, and 90 seconds at 63°C; the entire cycle was repeated 50 times. The 5' end of the TaqMan probe was covalently linked to a reporter dye, either 6-carboxyfluorescein (FAM) or 4,7,2'-trichloro-7'-phenyl-6-carboxyfluorescein (VIC), to monitor its interaction with the JAK2 V617F mutant allele or the wild-type allele, respectively. Both probes were linked to the quencher dye, tetramethyl-6-carboxyrhodamine at the 3' end. JAK2 V617F mutation levels were quantitatively expressed as the FAM/VIC fluorescence ratios in the amplified PCR product. Reactions with positive control (100% JAK2 V167F) and negative control (0% JAK2 V167F) were performed along with amplification of the patient’s DNA.
Direct sequencing for detection of the JAK2 exon 12 mutation
Direct sequencing of exon 12 of the JAK2 gene was performed in DNA samples from PV patients negative for the JAK2 V167F mutation [41]. For preliminary amplification of exon 12, the reaction mixtures contained 5μL buffer amplifier (10x), 3μL MgC12 (25mM/L), 2μL dNTPs (containing 2.5 mM of each nucleotide), 1 unit Taq polymerase, 2μL of each primer (10 mM), and 5μL DNA (total volume, 50μL).
The forward primer was 5'-CTCCTCTTTGG AGCAATTCA-3', and the reverse primer was 5'-GGGAGTTGCGATATAGGTCTT-3'. PCR was performed as follows: 5 minutes at 94°C; 35 cycles of 30 seconds at 94°C, 30 seconds at 50°C, and 30 seconds at 72°C; and 5 minutes at 72°C for extension. The amplification product was verified via electrophoreses on a 1% agarose gel and purified using a PCR purification kit (Qiagen). For direct sequencing, the forward primer was 5'-CTTTGGAGCAATTCATACTTT-3', and the reverse primer was 5'-AGTTGCGATATAGGTCTTTG-3'. Sequencing kit (Applied Biosystems) and genetic analyzer (ABI 3130XL; Applied Biosystems) were used. The resultant sequences were compared with sequences on the GenBank website (http://www.ncbi.nlm.nih.gov/sites/entrez) using Sequencher v4.1 software (Gene Codes Co., Ann Arbor, MI, USA).
Detection of MPL exon 10 mutations
Direct sequencing of exon 10 of the MPL gene was performed in DNA samples from ET and PMF patients negative for the JAK2 V617F mutation [5]. The reaction mixtures contained 5μL DNA, 10μL 2× PfuPreMix (Biowithus, Seoul, Korea), and 5μL of a mixture of the forward (5'-TGGGCCGAAGTCTGACCCTTT-3') and reverse (5'-ACAGAGCGAACCAAGAATGCCTGT-3') primers. MPL mutations very frequently occur in codon 515, which is in exon 10. PCR was performed as follows: 5 minutes at 98°C; 35 cycles of 20 seconds at 98°C and 1 minute at 68°C; and 5 minutes at 68°C for extension. The amplification product was verified via electrophoresis on a 1% agarose gel and purified using a PCR purification kit. For direct sequencing, the forward primer was 5'-GGTGACCGCTCTGCATCTAGTGCT-3', and the reverse primer was 5'-CACCTGGTCCACCGCCAGTCT-3'. The resultant sequences were compared with sequences on the GenBank website using Sequencher v4.1 software.
Mutation analysis of exon 9 of the CALR gene
PCR and DNA fragment analysis, which assesses the size of amplification fragments, were used to detect CALR exon 9 mutations. Then, secondary examination using direct sequencing was performed for specimens showing unordinary DNA fragments.
DNA fragment analysis for detecting CALR exon 9 mutations
For amplification of exon 9 of the CALR gene, the forward primer was 5'-GGCAAGGCCCTGAGGTGT-3', and the reverse primer was 5'GGCCTCAGTCCAGCCCTG-3'. PCR was performed as follows: 5 minutes at temperatures below 95°C; 10 cycles of 30 seconds at 94°C, 30 seconds at 67°C, and 30 seconds at 72°C (in 1 of the cycles, the annealing temperature was lowered by 1°C); 29 cycles of 30 seconds at 94°C, 30 seconds at 57°C, and 30 seconds at 72°C; and 20 minutes at 72°C for extension. The PCR products were diluted 1:20, and their sizes were measured by using genetic analyzer (ABI 3130XL; Applied Biosystems). Results were analyzed by using GeneMapper software version 4.0 (Applied Biosystems). Direct sequencing was conducted to confirm the CALR mutation type.
Direct sequencing for confirming the CALR mutation and mutation type
For direct sequencing, the forward primer was 5'-ACAACTTCCTCATCACCAACG-3', and the reverse primer was 5'-GGCCTCAGTCCAGCCCTG-3'. The resultant sequences were compared with sequences on the GenBank website using Sequencher v4.1 software. CALR mutation types were classified as described in previous reports [9, 11, 12].
Statistical analysis
R version 3.2.4 (The R Foundation for Statistical Computing, Vienna, Austria) was used for the following statistical analyses [38]. The chi-square test or Fisher’s exact test was used to analyze differences in non-continuous variables such as sex, splenomegaly, and plateletpheresis. The Kruskal-Wallis test or the Mann-Whitney U test was used to analyze continuous variables such as age and hematological index. In 2-sided tests, a P value < 0.05 indicated statistical significance. The Cox proportional-hazard regression model was used to analyze the dependency of survival time on predictor variables. Progression-free survival (PFS) was defined as the time from the day of ET diagnosis to the day of progression to PV, post-ET myelofibrosis, and myelodysplastic syndrome or acute leukemia [42]. Partial remission (PR) was defined by the revised response criteria for PV and ET [42]. It includes durable peripheral blood count remission (lasting at least 12 weeks), defined as: platelet count ≤ 400×109/L, WBC count ≤ 10×109/L, absence of leukoerythroblastosis.
ACKNOWLEDGMENTS
This study was supported by the National Research Foundation of Korea (NRF) and grants (No. 2011-0015304), the Leading Foreign Research Institute Recruitment Program (No. 2011-0030034) through the NRF funded by the Ministry of Education, Science and Technology (MEST), and a grant from the National R&D Program for Cancer Control, Ministry of Health & Welfare, Republic of Korea (No. 2013-1320070).
Authorship contributions
M.G.K., H.W.C., and M.G.S. performed the study design, data analysis, and wrote the manuscript. H.R.K. and J.H.L. carried out the molecular genetic studies and drafted the manuscript. M.G.K., H.W.C., Y.J.C, and H.J.C created the patient database and collected data. J.H.S., M.S., and S.P.S. coordinated the project. H.R.K. and M.G.S. participated in critical revisions and helped to draft the manuscript.
CONFLICTS OF INTEREST
The authors have no potential conflict of interest to declare.
REFERENCES
1. Dickstein JI and Vardiman JW. Hematopathologic findings in the myeloproliferative disorders. Seminars in oncology. 1995; 22:355-373.
2. Delhommeau F, Jeziorowska D, Marzac C and Casadevall N. Molecular aspects of myeloproliferative neoplasms. International journal of hematology. 2010; 91:165-173.
3. Gong JZ, Cook JR, Greiner TC, Hedvat C, Hill CE, Lim MS, Longtine JA, Sabath D, Wang YL and Association for Molecular P. Laboratory practice guidelines for detecting and reporting JAK2 and MPL mutations in myeloproliferative neoplasms: a report of the Association for Molecular Pathology. The Journal of molecular diagnostics : JMD. 2013; 15:733-744.
4. Guglielmelli P, Pancrazzi A, Bergamaschi G, Rosti V, Villani L, Antonioli E, Bosi A, Barosi G, Vannucchi AM, Myelofibrosis GI--IRo and Consortium MPDR. Anaemia characterises patients with myelofibrosis harbouring Mpl mutation. British journal of haematology. 2007; 137:244-247.
5. Pardanani AD, Levine RL, Lasho T, Pikman Y, Mesa RA, Wadleigh M, Steensma DP, Elliott MA, Wolanskyj AP, Hogan WJ, McClure RF, Litzow MR, Gilliland DG and Tefferi A. MPL515 mutations in myeloproliferative and other myeloid disorders: a study of 1182 patients. Blood. 2006; 108:3472-3476.
6. Pikman Y, Lee BH, Mercher T, McDowell E, Ebert BL, Gozo M, Cuker A, Wernig G, Moore S, Galinsky I, DeAngelo DJ, Clark JJ, Lee SJ, Golub TR, Wadleigh M, Gilliland DG, et al. MPLW515L is a novel somatic activating mutation in myelofibrosis with myeloid metaplasia. PLoS Med. 2006; 3:e270.
7. Swerdllow S, Campo E and Harris NL. (2008). WHO classification of tumours of haematopoietic and lymphoid tissues. (France: IARC Press).
8. Tefferi A, Thiele J, Orazi A, Kvasnicka HM, Barbui T, Hanson CA, Barosi G, Verstovsek S, Birgegard G, Mesa R, Reilly JT, Gisslinger H, Vannucchi AM, Cervantes F, Finazzi G, Hoffman R, et al. Proposals and rationale for revision of the World Health Organization diagnostic criteria for polycythemia vera, essential thrombocythemia, and primary myelofibrosis: recommendations from an ad hoc international expert panel. Blood. 2007; 110:1092-1097.
9. Klampfl T, Gisslinger H, Harutyunyan AS, Nivarthi H, Rumi E, Milosevic JD, Them NC, Berg T, Gisslinger B, Pietra D, Chen D, Vladimer GI, Bagienski K, Milanesi C, Casetti IC, Sant’Antonio E, et al. Somatic mutations of calreticulin in myeloproliferative neoplasms. The New England journal of medicine. 2013; 369:2379-2390.
10. Nangalia J, Massie CE, Baxter EJ, Nice FL, Gundem G, Wedge DC, Avezov E, Li J, Kollmann K, Kent DG, Aziz A, Godfrey AL, Hinton J, Martincorena I, Van Loo P, Jones AV, et al. Somatic CALR mutations in myeloproliferative neoplasms with nonmutated JAK2. The New England journal of medicine. 2013; 369:2391-2405.
11. Tefferi A, Thiele J, Vannucchi AM and Barbui T. An overview on CALR and CSF3R mutations and a proposal for revision of WHO diagnostic criteria for myeloproliferative neoplasms. Leukemia. 2014; 28:1407-1413.
12. Rumi E, Pietra D, Ferretti V, Klampfl T, Harutyunyan AS, Milosevic JD, Them NC, Berg T, Elena C, Casetti IC, Milanesi C, Sant’antonio E, Bellini M, Fugazza E, Renna MC, Boveri E, et al. JAK2 or CALR mutation status defines subtypes of essential thrombocythemia with substantially different clinical course and outcomes. Blood. 2014; 123:1544-1551.
13. Broseus J, Park JH, Carillo S, Hermouet S and Girodon F. Presence of calreticulin mutations in JAK2-negative polycythemia vera. Blood. 2014; 124:3964-3966.
14. Chen CC, Gau JP, Chou HJ, You JY, Huang CE, Chen YY, Lung J, Chou YS, Leu YW, Lu CH, Lee KD and Tsai YH. Frequencies, clinical characteristics, and outcome of somatic CALR mutations in JAK2-unmutated essential thrombocythemia. Annals of hematology. 2014; 93:2029-2036.
15. Li B, Xu J, Wang J, Gale RP, Xu Z, Cui Y, Yang L, Xing R, Ai X, Qin T, Zhang Y, Zhang P and Xiao Z. Calreticulin mutations in Chinese with primary myelofibrosis. Haematologica. 2014; 99:1697-1700.
16. Lundberg P, Karow A, Nienhold R, Looser R, Hao-Shen H, Nissen I, Girsberger S, Lehmann T, Passweg J, Stern M, Beisel C, Kralovics R and Skoda RC. Clonal evolution and clinical correlates of somatic mutations in myeloproliferative neoplasms. Blood. 2014; 123:2220-2228.
17. McGaffin G, Harper K, Stirling D and McLintock L. JAK2 V617F and CALR mutations are not mutually exclusive; findings from retrospective analysis of a small patient cohort. British journal of haematology. 2014; 167:276-278.
18. Tefferi A, Lasho TL, Finke CM, Knudson RA, Ketterling R, Hanson CH, Maffioli M, Caramazza D, Passamonti F and Pardanani A. CALR vs JAK2 vs MPL-mutated or triple-negative myelofibrosis: clinical, cytogenetic and molecular comparisons. Leukemia. 2014; 28:1472-1477.
19. Rotunno G, Mannarelli C, Guglielmelli P, Pacilli A, Pancrazzi A, Pieri L, Fanelli T, Bosi A, Vannucchi AM and Associazione Italiana per la Ricerca sul Cancro Gruppo Italiano Malattie Mieloproliferative I. Impact of calreticulin mutations on clinical and hematological phenotype and outcome in essential thrombocythemia. Blood. 2014; 123:1552-1555.
20. Wu Z, Zhang X, Xu X, Chen Y, Hu T, Kang Z, Li S, Wang H, Liu W, Ma X and Guan M. The mutation profile of JAK2 and CALR in Chinese Han patients with Philadelphia chromosome-negative myeloproliferative neoplasms. Journal of hematology & oncology. 2014; 7:48.
21. Tefferi A, Lasho TL, Finke C, Belachew AA, Wassie EA, Ketterling RP, Hanson CA and Pardanani A. Type 1 vs type 2 calreticulin mutations in primary myelofibrosis: differences in phenotype and prognostic impact. Leukemia. 2014; 28:1568-1570.
22. Eggleton P and Michalak M. Calreticulin for better or for worse, in sickness and in health, until death do us part. Cell calcium. 2013; 54:126-131.
23. Mesaeli N, Nakamura K, Zvaritch E, Dickie P, Dziak E, Krause KH, Opas M, MacLennan DH and Michalak M. Calreticulin is essential for cardiac development. The Journal of cell biology. 1999; 144:857-868.
24. Nakamura K, Robertson M, Liu G, Dickie P, Nakamura K, Guo JQ, Duff HJ, Opas M, Kavanagh K and Michalak M. Complete heart block and sudden death in mice overexpressing calreticulin. The Journal of clinical investigation. 2001; 107:1245-1253.
25. Raghavan M, Wijeyesakere SJ, Peters LR and Del Cid N. Calreticulin in the immune system: ins and outs. Trends in immunology. 2013; 34:13-21.
26. Eric-Nikolic A, Milovanovic Z, Sanchez D, Pekarikova A, Dzodic R, Matic IZ, Tuckova L, Jevric M, Buta M, Raskovic S and Juranic Z. Overexpression of calreticulin in malignant and benign breast tumors: relationship with humoral immunity. Oncology. 2012; 82:48-55.
27. Sheng W, Chen C, Dong M, Zhou J, Liu Q, Dong Q and Li F. Overexpression of calreticulin contributes to the development and progression of pancreatic cancer. Journal of cellular physiology. 2014; 229:887-897.
28. Vaksman O, Davidson B, Trope C and Reich R. Calreticulin expression is reduced in high-grade ovarian serous carcinoma effusions compared with primary tumors and solid metastases. Hum Pathol. 2013; 44:2677-2683.
29. Aghajani A, Rahimi A, Fadai F, Ebrahimi A, Najmabadi H and Ohadi M. A point mutation at the calreticulin gene core promoter conserved sequence in a case of schizophrenia. Am J Med Genet B Neuropsychiatr Genet. 2006; 141B:294-295.
30. Chi J, Nicolaou KA, Nicolaidou V, Koumas L, Mitsidou A, Pierides C, Manoloukos M, Barbouti K, Melanthiou F, Prokopiou C, Vassiliou GS and Costeas P. Calreticulin gene exon 9 frameshift mutations in patients with thrombocytosis. Leukemia. 2014; 28:1152-1154.
31. Vannucchi AM, Rotunno G, Bartalucci N, Raugei G, Carrai V, Balliu M, Mannarelli C, Pacilli A, Calabresi L, Fjerza R, Pieri L, Bosi A, Manfredini R and Guglielmelli P. Calreticulin mutation-specific immunostaining in myeloproliferative neoplasms: pathogenetic insight and diagnostic value. Leukemia. 2014.
32. Kim BH, Cho YU, Bae MH, Jang S, Seo EJ, Chi HS, Choi Y, Kim DY, Lee JH, Lee JH, Lee KH, Park YM, Lee JK and Park CJ. JAK2 V617F, MPL, and CALR Mutations in Korean Patients with Essential Thrombocythemia and Primary Myelofibrosis. Journal of Korean medical science. 2015; 30:882-888.
33. Vannucchi AM, Antonioli E, Guglielmelli P, Rambaldi A, Barosi G, Marchioli R, Marfisi RM, Finazzi G, Guerini V and Fabris F. Clinical profile of homozygous JAK2 617V> F mutation in patients with polycythemia vera or essential thrombocythemia. Blood. 2007; 110:840-846.
34. Rumi E, Pietra D, Ferretti V, Klampfl T, Harutyunyan AS, Milosevic JD, Them NC, Berg T, Elena C and Casetti IC. JAK2 or CALR mutation status defines subtypes of essential thrombocythemia with substantially different clinical course and outcomes. Blood. 2014; 123:1544-1551.
35. Li B, Xu JQ, Wang JY, Gale RP, Xu ZF, Cui YJ, Yang L, Xing RX, Ai XG, Qin TJ, Zhang Y, Zhang PH and Xiao ZJ. Calreticulin mutations in Chinese with primary myelofibrosis. Haematologica. 2014; 99:1697-1700.
36. Xu Z, Gale RP, Zhang Y, Qin T, Chen H, Zhang P, Zhang T, Liu L, Qu S and Xiao Z. Unique features of primary myelofibrosis in Chinese. Blood. 2012; 119:2469-2473.
37. Tefferi A, Wassie EA, Guglielmelli P, Gangat N, Belachew AA, Lasho TL, Finke C, Ketterling RP, Hanson CA, Pardanani A, Wolanskyj AP, Maffioli M, Casalone R, Pacilli A, Vannucchi AM and Passamonti F. Type 1 versus Type 2 calreticulin mutations in essential thrombocythemia: a collaborative study of 1027 patients. American journal of hematology. 2014; 89:E121-124.
38. Tefferi A, Guglielmelli P, Larson DR, Finke C, Wassie EA, Pieri L, Gangat N, Fjerza R, Belachew AA, Lasho TL, Ketterling RP, Hanson CA, Rambaldi A, Finazzi G, Thiele J, Barbui T, et al. Long-term survival and blast transformation in molecularly annotated essential thrombocythemia, polycythemia vera, and myelofibrosis. Blood. 2014; 124:2507-2513; quiz 2615.
39. Vardiman JW, Harris NL and Brunning RD. The World Health Organization (WHO) classification of the myeloid neoplasms. Blood. 2002; 100:2292-2302.
40. Cankovic M, Whiteley L, Hawley RC, Zarbo RJ and Chitale D. Clinical performance of JAK2 V617F mutation detection assays in a molecular diagnostics laboratory: evaluation of screening and quantitation methods. American journal of clinical pathology. 2009; 132:713-721.
41. Dos Santos LC, Ribeiro JC, Silva NP, Cerutti J, da Silva MR and Chauffaille Mde L. Cytogenetics, JAK2 and MPL mutations in polycythemia vera, primary myelofibrosis and essential thrombocythemia. Revista brasileira de hematologia e hemoterapia. 2011; 33:417-424.
42. Barosi G, Mesa R, Finazzi G, Harrison C, Kiladjian JJ, Lengfelder E, McMullin MF, Passamonti F, Vannucchi AM, Besses C, Gisslinger H, Samuelsson J, Verstovsek S, Hoffman R, Pardanani A, Cervantes F, et al. Revised response criteria for polycythemia vera and essential thrombocythemia: an ELN and IWG-MRT consensus project. Blood. 2013; 121:4778-4781.