Oncotarget


Oncotarget: The role of EGFR mutations in predicting recurrence in lung adenocarcinoma


FOR IMMEDIATE RELEASE
2020-06-08

Volume 11, Issue 22 of @Oncotarget reported that while lobectomy can improve mortality in this group, about 30 55% of patients will experience disease recurrence.

The increased investigation into the factors affecting recurrence, particularly tumor molecular genetics such as EGFR mutations, is needed.

These authors conducted a single-center retrospective study of 282 patients with early or locally advanced lung adenocarcinoma, with or without EGFR mutations, who underwent definitive therapy.

Then they assessed recurrence, stage at recurrence, time to recurrence, and progression-free survival.

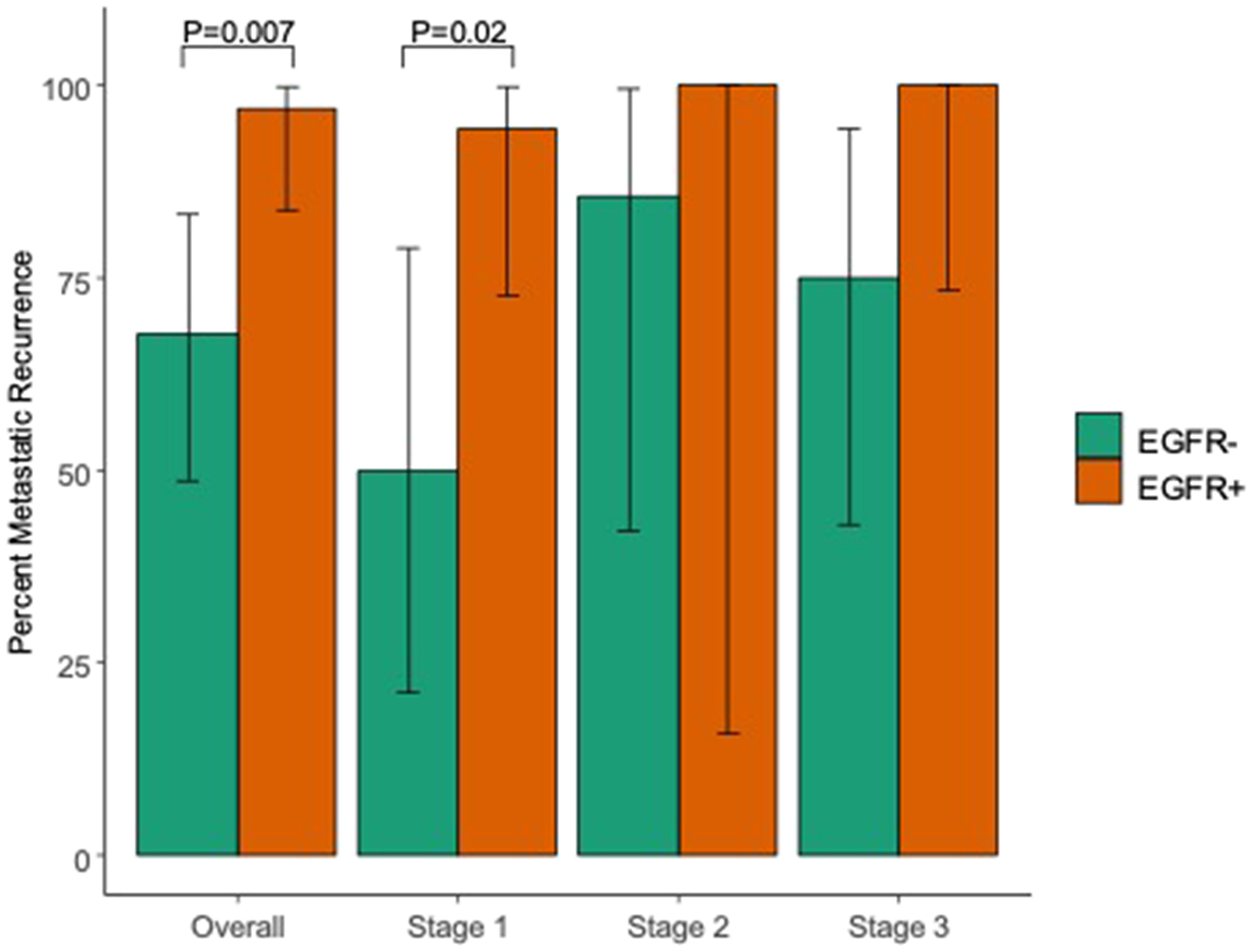
However, among those who recurred, EGFR-mutated lung cancer had increased rates of metastatic recurrence compared to EGFR-wildtype disease.

Dr. Victoria Villaflor from The Division of Hematology-Oncology, as well as The Robert H. Lurie Comprehensive Cancer Center of Northwestern University in Chicago, Illinois, said, "According to the World Health Organization (WHO), lung cancer is the most common cause of cancer and cancer-related mortality in both men and women worldwide."

Figure 1: Percent of patients with metastatic disease at recurrence based on initial staging and presence of an  EGFR driver mutation.

Figure 1: Percent of patients with metastatic disease at recurrence based on initial staging and presence of an EGFR driver mutation. Percent metastatic recurrence among those who recurred by EGFR status and initial stage.

Lung cancer can be divided into small cell lung cancer, which accounts for ~15% of cases, and non-small cell lung cancer, which accounts for ~85% of cases.

Despite definitive therapy, 30 55% of patients with early NSCLC will eventually experience disease recurrence and die of their disease.

With tumor molecular genetics at the forefront of precision medicine, subclassification of NSCLC based on EGFR mutation status has been paramount for predicting response to EGFR targeted therapies in unresectable advanced and metastatic disease.

Despite advances in those with unresectable disease, little is known about the prognostic implications of EGFR mutation status in early and locally advanced NSCLC amenable to definitive therapy.

This single-institution retrospective study aims to better understand the implications of EGFR mutation status on localized or locally advanced NSCLC amenable to definitive therapy.

"This single-institution retrospective study aims to better understand the implications of EGFR mutation status on localized or locally advanced NSCLC amenable to definitive therapy"

The Villaflor Research Team concluded in their Oncotarget Research Paper, "this study suggests EGFR mutation as an important marker for predicting metastatic disease recurrence and highlights the growing need for precision medicine in early and locally advanced NSCLC. Early identification of these recurrences is paramount given the improved post-relapse survival observed in this population. A better understanding of the factors leading to relapse rates using prospective, multi-center investigations could help guide future surveillance practices, identify those patients at higher risk, and ultimately extend patient survival."

Sign up for free Altmetric alerts about this article

DOI - https://doi.org/10.18632/oncotarget.27602

Full text - https://www.oncotarget.com/article/27602/text/

Correspondence to - Victoria Villaflor - [email protected]

Keywords - non-small cell lung cancer, lung adenocarcinoma, EGFR, early, recurrence

About Oncotarget

Oncotarget is a biweekly, peer-reviewed, open access biomedical journal covering research on all aspects of oncology.

To learn more about Oncotarget, please visit https://www.oncotarget.com or connect with:

SoundCloud - https://soundcloud.com/oncotarget
Facebook - https://www.facebook.com/Oncotarget/
Twitter - https://twitter.com/oncotarget
LinkedIn - https://www.linkedin.com/company/oncotarget
Pinterest - https://www.pinterest.com/oncotarget/
Reddit - https://www.reddit.com/user/Oncotarget/

Oncotarget is published by Impact Journals, LLC please visit http://www.ImpactJournals.com or connect with @ImpactJrnls

Media Contact
[email protected]
18009220957x105



Copyright © 2025 Rapamycin Press LLC dba Impact Journals
Oncotarget ® is a registered trademark of Rapamycin Press LLC
Impact Journals ® is a registered trademark of Rapamycin Press LLC
RAPAMYCIN PRESS ® is a registered trademark of Rapamycin Press LLC