Oncotarget


Oncotarget: Sensitivity testing on ovarian cancer cells isolated from malignant ascites


FOR IMMEDIATE RELEASE
2021-01-29

Oncotarget published "Chemotherapy sensitivity testing on ovarian cancer cells isolated from malignant ascites" which reported that the authors aim is to determine the feasibility of cell proliferation assays of tumor cells isolated from malignant ascites to predict in vitro chemotherapy sensitivity, and to correlate these results with clinical outcome.

Cell samples were enriched for tumor cells and EOC origin was confirmed by intracellular staining of CK7, surface staining of CA125 and EpCAM, and HE4 gene expression.

In vitro sensitivity to chemotherapy was determined in cell proliferation assays using intracellular ATP content as an indirect measure of cell number.

In twelve of the fourteen remaining cases in vitro drug sensitivity and clinical outcome corresponded, while in two samples there was no correspondence.

Larger observational studies are required to confirm the correlation between the in vitro sensitivity and clinical outcome.

Dr. Anne M. van Altena from The Radboud University Medical Center said, "Epithelial ovarian cancer (EOC) is the most lethal gynecologic malignancy worldwide."

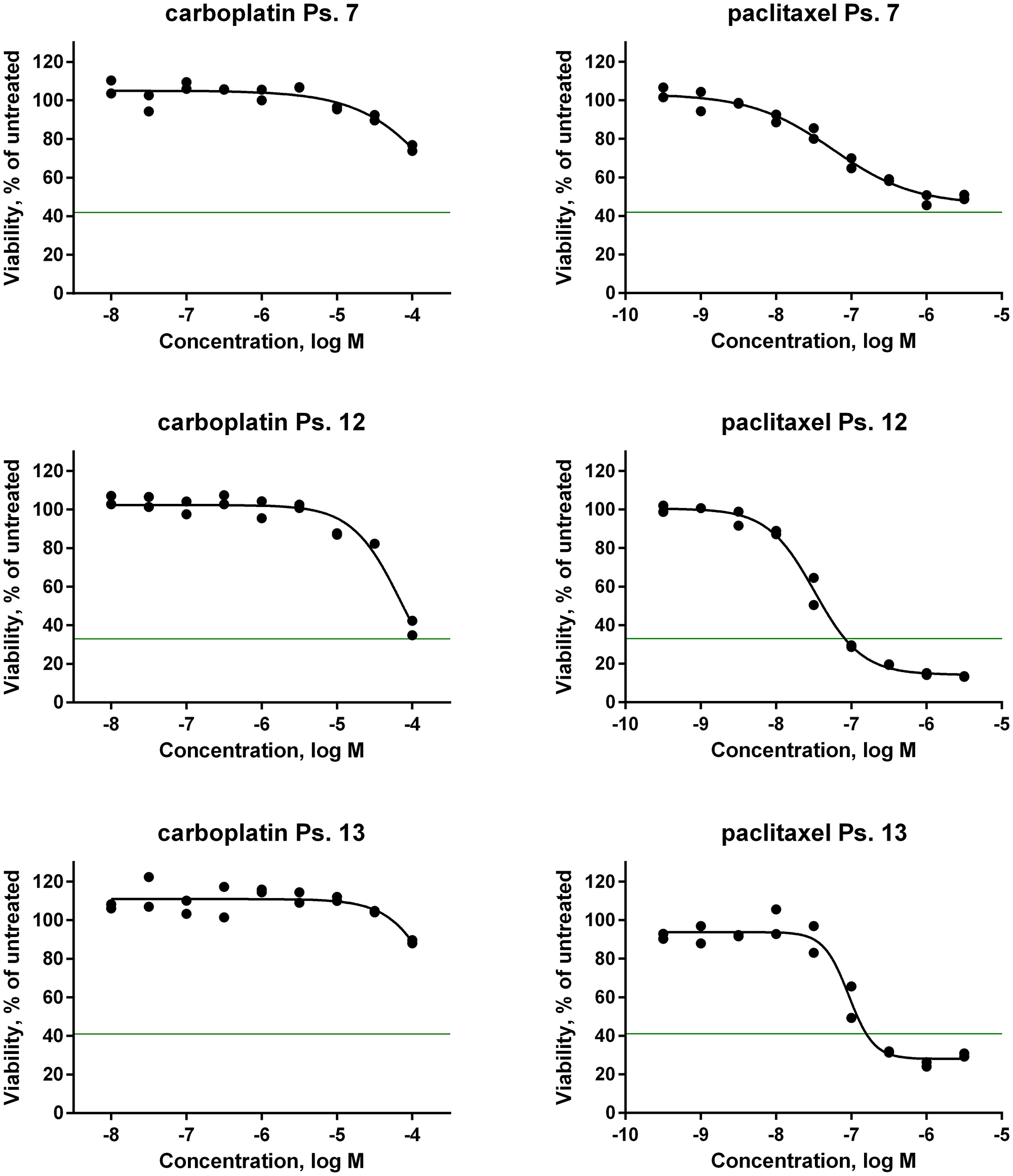
Figure 5:  In vitro drug sensitivity analysis of primary patient-derived tumor cells.

Figure 5: In vitro drug sensitivity analysis of primary patient-derived tumor cells. Dose-response curves of the first-line chemotherapeutic agents carboplatin and paclitaxel on tumor cells isolated from ascites of three patients. Cells were seeded in microtiter plates and allowed to adapt for 24 hours before drug was added. Effect on cell growth was determined after 120 hours drug exposure by measuring intracellular ATP content as an indirect readout of cell number. The horizontal green line corresponds to the number of cells before addition of drug.

Standard first-line treatment for advanced EOC consists of a combination of a debulking surgery and chemotherapy, with paclitaxel and a platinum-based compound administered either intravenously or intraperitoneally.

There is a need for more tools and assays to predict the clinical response to chemotherapy in EOC patients.

Konecny and co-workers reported a significant decrease in progression-free and overall survival of patients tested to be resistant in vitro using ATP tumor chemosensitivity assays performed on tumor cells isolated from biopsies.

A more personalized, tumor-specific treatment for EOC patients would be of great value to improve therapeutic decision-making and clinical outcome.

The aim of this Oncotarget study is to determine whether tumor cells isolated from ascites of EOC patients can be used to determine chemotherapy sensitivity by using in vitro proliferation assays.

The aim of this Oncotarget study is to determine whether tumor cells isolated from ascites of EOC patients can be used to determine chemotherapy sensitivity by using in vitro proliferation assays.

The van Altena Research Team concluded in their Oncotarget Research Paper, "our study shows the feasibility of assessing in vitro chemotherapy sensitivity on tumor cells isolated from ascites. A larger, prospective study, which takes into account the insights that were gained in this pilot study, is ongoing and will be reported in due course."

Sign up for free Altmetric alerts about this article

DOI - https://doi.org/10.18632/oncotarget.27827

Full text - https://www.oncotarget.com/article/27827/text/

Correspondence to - Anne M. van Altena - [email protected]

Keywords - ovarian cancer, chemotherapy sensitivity, prediction, ascites, proliferation assays

About Oncotarget

Oncotarget is a weekly, peer-reviewed, open access biomedical journal covering research on all aspects of oncology.

To learn more about Oncotarget, please visit https://www.oncotarget.com or connect with:

SoundCloud - https://soundcloud.com/oncotarget
Facebook - https://www.facebook.com/Oncotarget/
Twitter - https://twitter.com/oncotarget
LinkedIn - https://www.linkedin.com/company/oncotarget
Pinterest - https://www.pinterest.com/oncotarget/
Reddit - https://www.reddit.com/user/Oncotarget/

Oncotarget is published by Impact Journals, LLC please visit http://www.ImpactJournals.com or connect with @ImpactJrnls

Media Contact
[email protected]
18009220957x105



Copyright © 2026 Rapamycin Press LLC dba Impact Journals
Oncotarget ® is a registered trademark of Rapamycin Press LLC
Impact Journals ® is a registered trademark of Rapamycin Press LLC
RAPAMYCIN PRESS ® is a registered trademark of Rapamycin Press LLC